Odstavec předpisu 38/2001 Sb.
Vyhláška č. 38/2001 Sb., o hygienických požadavcích na výrobky určené pro styk s potravinami a pokrmy
Příl.5
Příloha 5
Stanovení monomerního vinylchloridu
ve výrobcích z polyvinylchloridu a jeho kopolymerů
1
Předmět a oblast použití
Tato metoda stanoví množství monomerního vinylchloridu ve
výrobcích.
2
Princip metody
Obsah monomerního vinylchloridu (VCM) v materiálech nebo výrobcích
se stanoví plynovou chromatografií za použití metody "headspace",
po rozpuštění nebo suspendování vzorku v N,N-dimethylacetamidu.
3
Použité chemikálie
3.1 Vinylchlorid (VC), čistoty vyšší než 99,5 % V/V
3.2 N,N-dimethylacetamid (DMA), prostý všech nečistot se stejným
retenčním časem za zkušebních podmínek jako VC nebo vnitřní
standard (3.3).
3.3 Diethyleter nebo cis-but-2-en v DMA (3.2) jako roztok
vnitřního standardu. Tyto vnitřní standardy nesmí obsahovat žádné
nečistoty se stejným retenčním časem jako VC za zkušebních
podmínek.
4
Zkušební pomůcky
Poznámka: Uvádí se pouze přístroje nebo součásti speciálního vybavení. Předpokládá se, že obvyklé přístroje a vybavení jsou k dispozici.
4.1 Plynový chromatograf vybavený automatickým dávkovačem vzorku
"head-space" nebo zařízením pro ruční nástřik vzorku.
4.2 Plameno-ionizační detektor nebo detektory uvedené v bodě 7.
4.3 Kolona pro plynovou chromatografii
Kolona musí umožňovat oddělení píků vzduchu, VC a vnitřního
standardu, pokud je použit. Dále musí kombinace systémů 4.2 a 4.3
umožňovat, aby signál roztoku obsahujícího 0,02 mg VC/litr DMA
nebo 0,02 mg VC/kg DMA byl alespoň pětkrát vyšší než šum pozadí.
4.4 Vzorkovací ampule nebo lahvičky se septy ze silikonového
elastomeru nebo butylkaučuku.
Při použití ruční techniky dávkování, může odběr vzorku injekční
stříkačkou z prostoru nad kapalinou způsobit vytvoření částečného
vakua uvnitř ampule nebo lahvičky. Proto při manuálních technikách
odběru vzorku, pokud nejsou ampule před odběrem natlakovány, se
doporučuje používat velké ampule.
4.5 Injekční mikrostříkačky
4.6 Plynotěsné injekční stříkačky pro ruční odběr vzorku nad
kapalinou (headspace)
4.7 Analytické váhy s přesností vážení 0,1 mg.
5
Pracovní postup
UPOZORNĚNÍ: VC je při pokojové teplotě nebezpečná plynná látka, a proto je nutno připravovat roztok v dobře odvětrané digestoři. Poznámka: Proveďte všechna potřebná opatření pro zamezení úniku VC nebo DMA. Při ručním dávkování vzorku by měl být použit vnitřní standard (3.3). Při použití vnitřního standardu by měl být během celé analýzy používán tentýž roztok.
5.1 Příprava koncentrovaného standardního roztoku VC o koncentraci
přibližně 2 000 mg/kg
Do vhodné skleněné nádoby zvážené s přesností na 0,1 mg se vpraví
určité množství (např. 50 ml) DMA (3.2). Nádoba s DMA se znovu
zváží. K DMA se pomalu stříkačkou přidá určité množství (např. 0,1
g) VC (3.1) v kapalné nebo plynné formě. V případě použití
zařízení, které zabraňuje úniku DMA, lze VC přidat také
probubláváním do DMA. Nádoba se znovu zváží s přesností na 0,1 mg.
Pro dosažení rovnováhy se roztok v nádobě nechá dvě hodiny stát.
Standardní roztok se uchovává v chladničce.
5.2 Příprava zředěného standardního roztoku VC
Odebere se zvážené množství koncentrovaného standardního roztoku
VC (5.1) a zředí se DMA (3.2) nebo roztokem vnitřního standardu
(3.3) na známý objem nebo známou hmotnost. Koncentrace výsledného
zředěného standardního roztoku se vyjádří v mg/l nebo mg/kg.
5.3 Sestrojení kalibrační křivky
Kalibrační křivka musí být sestrojena alespoň ze sedm duplicitních
stanovení.
Přesnost odezev musí být větší než 0,02 mg VC na jeden litr nebo
kilogram DMA.
Kalibrační křivka se vypočítá z těchto bodů metodou nejmenších
čtverců, tzn. že regresní přímka musí být vypočtena pomocí
následující rovnice:
y = a1 . x + a0
kde:
y je výška nebo plocha píku každého jednotlivého stanovení,
x koncentrace odpovídající bodům na regresní křivce,
n počet provedených stanovení (n větší nebo roven 14).
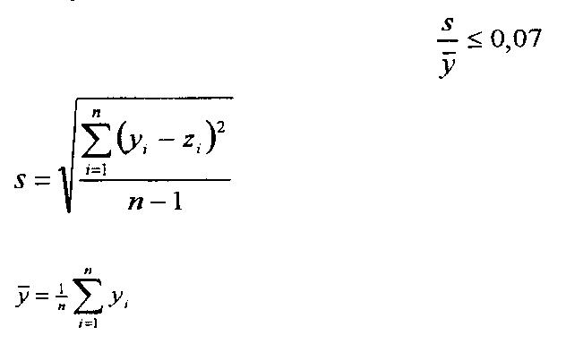
Závislost musí být lineární, tj. směrodatná odchylka (s) rozdílů
mezi naměřenými hodnotami (yi) a odpovídajícími hodnotami
vypočtenými z regresní křivky (zi) dělená průměrnou hodnotou všech
naměřených hodnot (y) nesmí překročit 0,07.
Vypočítá se podle:kde: yi jsou jednotlivé naměřené odezvy zi hodnoty odpovídající odezvě (yi) na vypočítané regresní přímce, n >= 14
Připraví se dvě serie nejméně po sedmi ampulích či lahvičkách
(4.4). Do každé ampule nebo lahvičky se přidá takový objem
zředěného standardního roztoku VC (5.2) a DMA (3.2) nebo roztok
vnitřního standardu v DMA (3.3), aby výsledné koncentrace VC
duplikátních roztoků byly přibližně rovny hodnotám 0, 0,050,
0,075, 0,100, 0,150, 0,200 atd. mg/l DMA nebo mg/kg DMA a aby
všechny ampule nebo lahvičky obsahovaly stejné množství DMA, jaké
má být použito podle bodu 5.5. Ampule nebo lahvičky se těsně
uzavřou a dále se postupuje způsobem popsaným v bodě 5.6. Sestrojí
se graf, v němž jsou na svislé ose vyneseny plochy (nebo výšky)
píků VC ze stanovení duplicitních roztoků, nebo poměry těchto
ploch (nebo výšek) píků k plochám (nebo výškám) píků
odpovídajících vnitřnímu standardu a na vodorovné ose jsou
vyneseny koncentrace VC v duplicitních roztocích.
5.4 Ověření správnosti přípravy standardních roztoků získaných v
bodech 5.1 a 5.2
Při přípravě druhého zředěného standardního roztoku o koncentraci
rovné 0,1 mg VC/l nebo 0,1 mg VC/kg DMA nebo roztoku vnitřního
standardu se postupuje podle postupu popsaného v bodech 5.1 a 5.2.
Průměr dvou chromatografických stanovení se u tohoto roztoku nesmí
lišit o více než 5 % od odpovídajícího bodu kalibrační křivky.
Je-li rozdíl větší než 5 %, vyřadí se všechny roztoky získané v
bodech 5.1, 5.2, 5.3 a 5.4 a postup se opakuje od začátku.
5.5 Příprava vzorků materiálů nebo výrobků
Připraví se dvě ampule nebo lahvičky (4.4). Do každé z nich se s
přesností na 0,1 mg naváží nejméně 200 mg vzorku získaného z
jednoho zkoušeného materiálu nebo výrobku, rozmělněného na malé
kousky. Je třeba zajistit, aby do každé ampule nebo lahvičky bylo
naváženo stejné množství. Ampule/lahvičky se ihned uzavřou. Do
každé ampule/lahvičky se přidá na každý gram vzorku 10 ml nebo 10
g DMA (3.2) nebo 10 ml nebo 10 g roztoku vnitřního standardu
(3.3). Ampule/lahvičky se utěsní a dále se postupuje podle bodu
5.6.
5.6 Stanovení plynovou chromatografií
5.6.1 Ampule/lahvičky se protřepou takovým způsobem, aby nedošlo
ke styku kapaliny se septem (4.4) a vytvoří se co možná
nejhomogennější roztoky nebo suspenze vzorků materiálu výrobku
(5.5).
5.6.2 Všechny utěsněné ampule/lahvičky (5.3, 5.4 a 5.5) se vloží
na dvě hodiny do vodní lázně o teplotě 60 +/- 1 st. C za účelem
dosažení rovnováhy. V případě potřeby se znovu protřepou.
5.6.3 Z prostoru nad kapalinou v ampuli/lahvičce se odebere
vzorek. Při ručním vzorkování je nutno dbát na to, aby byly
odebírány reprodukovatelné vzorky (viz bod 4.4), zejména injekční
stříkačka musí být předehřáta na teplotu vzorku. Měří se plochy
(nebo výšky) píků odpovídajících VC a, byl-li použit, vnitřnímu
standardu.
5.6.4 Jakmile se na chromatogramu objeví píky DMA, odstraní se z
kolony (4.3) přebytek DMA vhodnou metodou.
6
Výpočet výsledků
6.1 Interpolací se z grafu odečtou neznámé koncentrace dvojic
vzorků. Byl-li použit vnitřní standard, je nutno jej vzít v úvahu.
Množství VC v každém z dvojice vzorků zkoušeného výrobku se
vypočte za použití následující rovnice:
c . V
x = ----- 1000
m
kde:
x je koncentrace VC ve vzorku výrobku, vyjádřená v mg/kg,
c koncentrace VC v ampuli obsahující vzorek výrobku (viz bod
5.5), vyjádřená v mg/l nebo mg/kg,
V objem nebo hmotnost DMA v ampuli obsahující vzorek výrobku
(viz bod 5.5), vyjádřeno v litrech nebo kilogramech,
m hmotnost vzorku výrobku, vyjádřená v gramech.
6.2 Koncentrace VC ve zkoušeném výrobku, vyjádřená v mg/kg, je
definována jako průměr dvou koncentrací VC stanovených podle bodu
6.1 za předpokladu, že je splněno kriterium přesnosti uvedené v
bodě 8.
7
Ověření množství VC
V případech, kdy obsah VC ve výrobcích, vypočítaný podle
bodu 6.2,
přesahuje maximální přípustné množství, musí být hodnoty získané
analýzou jednotlivých dvojic vzorků (5.6 a 6.1) potvrzeny jedním z
níže uvedených tří způsobů:
- použitím alespoň jedné další kolony (4.3) se stacionární fází
odlišné polarity. Tento postup je třeba opakovat tak dlouho, až
na získaném chromatogramu nebudou žádné známky překrývání píků
VC a/nebo vnitřního standardu se složkami vzorku výrobku nebo
potraviny či pokrmu
- použitím jiných detektorů, např. detektor založený na
mikroelektrolytické vodivosti
- použitím hmotové spektrometrie; v tomto případě lze s velkou
pravděpodobností usuzovat na přítomnost VC, byly-li nalezeny
ionty molekul o výchozí hmotnosti (m/e) 62 a 64 v poměru 3 : 1.
V případě pochybností je nutno zkontrolovat celé hmotnostní
spektrum.
8
Přesnost metody
Rozdíl mezi výsledky dvou stanovení (6.1) provedených najednou
nebo v rychlém sledu za sebou u stejného vzorku stejným
pracovníkem za stejných podmínek nesmí přesáhnout hodnotu 0,2 mg
VC/kg výrobku.
