Odstavec předpisu 38/2001 Sb.
Vyhláška č. 38/2001 Sb., o hygienických požadavcích na výrobky určené pro styk s potravinami a pokrmy
Příl.6
Příloha 6
Stanovení vinylchloridu uvolněného výrobky z polyvinylchloridu
a jeho kopolymerů do potravin
1
Předmět a oblast použití
Touto metodou se stanoví obsah vinylchloridu v potravinách.
2
Princip stanovení
Obsah vinylchloridu (VC) v potravinách se stanoví plynovou
chromatografií za použití metody "headspace" (metodou odběru
vzorku z prostoru nad substrátem).
3
Použité chemikálie
3.1 Vinylchlorid (VC) o čistotě vyšší než 99,5 % V/V.
3.2 N,N-dimethylacetamid (DMA), prostý veškerých nečistot se
stejným retenčním časem za zkušebních podmínek jako VC nebo jako
vnitřní standard (3.3).
3.3 Diethylether nebo cis-but-2-en v DMA (3.2) jako roztok
vnitřního standardu. Tyto vnitřní standardy nesmějí obsahovat
žádné nečistoty se stejným retenčním časem jako VC za zkušebních
podmínek.
3.4 Destilovaná nebo demineralizovaná voda ekvivalentní čistoty.
4
Zkušební pomůcky
Poznámka: Uvádí se pouze přístroje nebo součásti speciálního vybavení. Předpokládá se, že obvyklé přístroje a vybavení jsou k dispozici.
4.1 Plynový chromatograf vybavený zařízením pro automatické
dávkování vzorku z prostoru nad substrátem ("headspace") nebo
zařízením pro ruční vstřikování vzorků.
4.2 Plameno-ionizační detektor nebo jiné detektory uvedené v bodě
7.
4.3 Kolona pro plynovou chromatografii
Kolona musí umožňovat oddělení píků vzduchu, VC a vnitřního
standardu, pokud je použit.
Dále kombinace systémů 4.2 a 4.3 musí umožňovat, aby signál
roztoku obsahujícího 0,005 mg VC/litr DMA nebo 0,005 mg VC/kg DMA
byl roven nejméně pětinásobku šumu pozadí.
4.4 Ampule nebo lahvičky na vzorky musí být opatřeny septy ze
silikonu nebo butylkaučuku.
Při použití ručního dávkování vzorku může při odběru vzorku
injekční stříkačkou z prostoru nad kapalinou vzniknout podtlak
uvnitř ampule nebo lahvičky. Proto se při manuálních technikách
dávkování vzorku, pokud nejsou ampule před odběrem natlakovány,
doporučuje používat velké ampule.
4.5 Injekční mikrostříkačky
4.6 Plynotěsné injekční stříkačky pro ruční dávkování vzorku z
prostoru nad kapalinou (headspace).
4.7 Analytické váhy s přesností vážení 0,1 mg.
5
Pracovní postup
UPOZORNĚNÍ: VC je nebezpečná látka a při pokojové teplotě je v plynném stavu. Proto příprava roztoku musí být prováděna v dobře odvětrané digestoři. Poznámka: Proveďte všechna potřebná opatření pro zamezení úniku VC nebo DMA. Při ručních technikách dávkování vzorku by měl být použit vnitřní standard (3.3). Při použití vnitřního standardu je nutno používat v průběhu celého postupu tentýž roztok.
5.1 Příprava standardního roztoku VC (roztok A)
5.1.1 Koncentrovaný standardní roztok VC o koncentraci přibližně
2 000 mg/kg
Do vhodné skleněné nádoby zvážené s přesností na 0,1 mg se nalije
určité množství (např. 50 ml) DMA (3.2). Nádoba s DMA se znovu
zváží. K DMA se pomalým vstřikováním přidá určité množství (např.
0,1 g) VC (3.1) v kapalné nebo plynné formě. VC lze přidat také
jeho probubláváním do DMA za předpokladu, že se použije zařízení
zabraňující ztrátám DMA. Nádoba se znovu zváží s přesností na 0,1
mg. Pro dosažení rovnováhy se roztok v nádobě nechá dvě hodiny
stát. Používá-li se vnitřní standard, přidá se tento vnitřní
standard v takovém množství, aby jeho koncentrace v koncentrovaném
standardním roztoku VC byla stejná, jako koncentrace roztoku
vnitřního standardu připraveného podle bodu (3.3). Standardní
roztok se uchovává v chladničce.
5.1.2 Příprava zředěného standardního roztoku VC
Odvážené množství koncentrovaného standardního roztoku VC (5.1.1)
se zředí na známý objem nebo na známou hmotnost použitím DMA (3.2)
nebo roztokem vnitřního standardu (3.3). Koncentrace výsledného
zředěného standardního roztoku (roztok A) se vyjádří v mg/l nebo
mg/kg.
5.1.3 Sestrojení kalibrační křivky pomocí roztoku A
Kalibrační křivka musí být sestrojena pomocí bodů nejméně sedmi
duplicitních stanovení.
Opakovatelnost odezev musí být menší než 0,002 mg VC na jeden litr
nebo kilogram DMA.
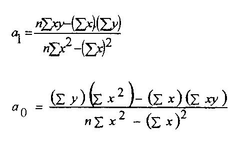
Kalibrační křivka se vypočítá z těchto bodů metodou nejmenších
čtverců, tzn. že regresní přímka se vypočítá za použití
následující rovnice:
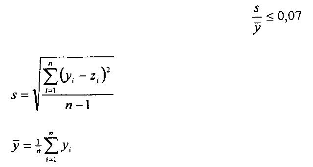
y1= a . x0+ akde: y je výška nebo plocha píku jednotlivého stanovení, x odpovídající koncentrace na regresní přímce, n počet provedených stanovení (n větší nebo rovno 14).
Křivka musí být lineární, tj. standardní odchylka (s) rozdílů mezi
naměřenými odezvami (yi) a odpovídajícími hodnotami odezev
vypočítaných z regresní přímky (zi) dělená střední hodnotou (y)
všech naměřených odezev nesmí přesáhnout 0,07.
Vypočítá se pomocí výrazu:
kde: yi jsou jednotlivé naměřené odezvy, zi hodnoty odpovídající odezvě (yi) na vypočítané regresní přímce, n >= 14.
Připraví se dvě série nejméně po sedmi ampulích (4.4). Do každé
ampule se přidá takový objem zředěného standardního roztoku VC
(5.1.2) a DMA (3.2) nebo roztok vnitřního standardu v DMA (3.3),
aby konečná koncentrace VC duplikátních roztoků byla přibližně
rovna hodnotám 0, 0,005, 0,010, 0,020, 0,030, 0,040, 0,050, atd.
mg/l DMA nebo mg/kg DMA a každá ampule obsahovala stejný celkový
objem roztoku. Množství zředěného standardního roztoku VC (5.1.2)
musí být takové, aby poměr mezi celkovým objemem (mikrolitry)
přidaného roztoku VC a množstvím DMA (g nebo ml) nebo roztoku
vnitřního standardu (3.3) nebyl větší než 5. Ampule se utěsní a
naloží se s nimi postupem popsaným v bodech 5.4.2, 5.4.3 a 5.4.5.
Sestrojí se graf, kde na ose y jsou vyneseny plochy (nebo výšky)
píků VC duplikátních roztoků, nebo poměr těchto ploch (nebo výšek)
k plochám (nebo výškám) odpovídajících píků vnitřního standardu, a
na ose x jsou vyneseny koncentrace VC duplikátních roztoků.
5.2 Ověření správnosti přípravy standardních roztoků
získaných v
bodě 5.1
5.2.1 Příprava druhého standardního roztoku VC (roztok B)
Opakuje se postup popsaný v bodech 5.1.1 a 5.1.2 za účelem získání
druhého standardního roztoku, v tomto případě s koncentrací
přibližně rovnou 0,02 mg VC/l nebo 0,02 mg VC/kg DMA nebo roztoku
vnitřního standardu. Tento roztok se umístí do dvou ampulí (4.4).
Ampule se utěsní a naloží se s nimi postupem uvedeným v bodech
5.4.2, 5.4.3 a 5.4.5.
5.2.2 Ověření správnosti roztoku A
Jestliže se průměr dvou chromatografických stanovení týkajících se
roztoku B (5.2.1) neliší o více než 5 % od odpovídajícího bodu
křivky odezvy získané v bodě 5.1.3, je správnost roztoku A
prokázána. Je-li rozdíl větší než 5 %, vyřadí se všechny roztoky
získané v bodech 5.1 a 5.2 a postup se opakuje od začátku.
5.3 Sestrojení kalibrační křivky "standardního přídavku"
Poznámka: Křivka se musí skládat alespoň ze sedmi dvojic bodů.
Křivka musí být vypočítána z těchto bodů metodou nejmenších
čtverců (5.1.3, třetí pododstavec).
Závislost musí být lineární, tj. standardní odchylka(y) rozdílů
mezi naměřenými odezvami (yi) a odpovídajícími hodnotami odezev
vypočítanými z regresní přímky (zi) dělených průměrnou hodnotou
(y) všech naměřených odezev nesmí přesáhnout 0,07 (5.1.3, čtvrtý
pododstavec).
5.3.1 Příprava vzorku
Vzorek analyzované potraviny musí být reprezentativním vzorkem
potraviny předložené k analýze. Proto musí být před odběrem vzorku
potravina promíchána nebo rozdrobena na malé kousky a promíchána.
5.3.2 Postup
Připraví se dvě série alespoň po sedmi ampulích (4.4). Do každé
ampule se vloží minimálně 5 g vzorku získaného ze zkoušené
potraviny (5.3.1). Zajistí se, aby do každé ampule bylo přidáno
stejné množství. Ampule se okamžitě uzavřou. Do každé ampule se
přidá na každý gram vzorku 1 ml nejlépe destilované vody, nebo
demineralizované vody alespoň stejné kvality, nebo, je-li
zapotřebí, příslušného rozpouštědla (poznámka: u homogenních
potravin přídavek destilované nebo demineralizované vody není
nutný). Do každé ampule se přidá takový objem zředěného
standardního roztoku VC (5.1.2), obsahujícího vnitřní standard
(3.3), pokud se považuje za užitečné, aby koncentrace VC
přidaného do ampulí byly rovny hodnotám 0, 0,005, 0,010, 0,020,
0,030, 0,040, 0,050 atd. mg/kg potraviny. Zajistí se, aby celkový
objem DMA nebo DMA obsahující vnitřní standard (3.3) byl stejný v
každé ampuli. Množství zředěného standardního roztoku VC (5.1.2) a
doplňujícího DMA, pokud byl použit, musí být takový, aby poměr
mezi celkovým objemem (mikrolitry) těchto roztoků a množstvím (g)
potraviny obsažené v ampuli byl co možná nejmenší, ale ne více než
5, a byl stejný ve všech ampulích. Ampule se utěsní a naloží se s
nimi postupem uvedeným v bodě 5.4.
5.4 Stanovení plynovou chromatografií
5.4.1 Ampule se protřepou takovým způsobem, aby nedošlo ke styku
obsažené kapaliny se septem (4.4), a aby se získaly co
nejhomogennější roztoky nebo suspenze vzorků potraviny.
5.4.2 Všechny utěsněné ampule (5.2 a 5.3) se dají na dvě hodiny do
vodní lázně o teplotě 60 +/- 1 st. C za účelem dosažení rovnováhy.
V případě potřeby se znovu protřepou.
5.4.3 Z prostoru nad kapalinou v ampuli se odebere vzorek. Při
ručním dávkování se musí dbát na to, aby byly odebírány
reprodukovatelné vzorky (4.4), zejména injekční stříkačka musí být
předehřátá na teplotu vzorku. Měří se plochy (nebo výšky) píků
odpovídajících VC a, byl-li použit, vnitřnímu standardu.
5.4.4 Sestrojí se graf, ve kterém se na osu y vynesou hodnoty
ploch (nebo výšek) píků VC, nebo poměr hodnot ploch (nebo výšek)
píků VC k plochám (nebo výškám) píků vnitřního standardu a na osu
x se vynese množství (mg) přidaného VC, vztažené na množství
vzorku poživatiny navážené do jednotlivých ampulí (kg). Z grafu se
odečte úsek na ose x. Získaná hodnota odpovídá koncentraci VC ve
zkoušeném vzorku poživatiny.
5.4.5 Jakmile se na chromatogramu objeví pík DMA, odstraní se
přebytek DMA z kolony (4.3), za použití vhodné metody.
6
Výsledky
VC uvolněný výrobkem do zkoušené potraviny vyjádřený v mg/kg, je
definován jako průměr dvou stanovení (5.4), za předpokladu, že je
splněno kriterium reprodukovatelnosti uvedené v bodě 8.
7
Ověření množství VC
V případech, kdy množství VC uvolněného z výrobku do
potravin a
vypočtené podle bodu 6 přesahuje kriterium uvedené v §
13 odst. 3
vyhlášky, musí být hodnoty získané v každém ze dvou stanovení
(5.4) potvrzeny jedním ze tří následujících způsobů:
- použitím alespoň jedné další kolony (4.3) se stacionární fází
odlišné polarity. Tento postup je třeba opakovat tak dlouho, až
na získaném chromatogramu nebudou žádné známky překrývání píků
VC a/nebo vnitřního standardu se složkami vzorku potraviny
- použitím jiných detektorů, např. detektor založený na
mikroelektrolytické vodivosti
- v případě použití hmotnostní spektrometrie; lze s velkou
pravděpodobností usuzovat na přítomnost VC, byly-li nalezeny
ionty molekul o výchozí hmotnosti (m/e) 62 a 64 v poměru 3 : 1.
V případě pochybností je nutno zkontrolovat celé hmotnostní
spektrum.
8
Přesnost metody
Rozdíl mezi výsledky dvou stanovení (5.4) provedených najednou
nebo v rychlém sledu za sebou u stejného vzorku stejným
pracovníkem za stejných podmínek nesmí přesáhnout hodnotu 0,003
mg VC/kg potraviny.

