Odstavec předpisu 124/2001 Sb.
Vyhláška č. 124/2001 Sb., kterou se stanoví požadavky na odběr vzorků a principy metod laboratorního zkoušení krmiv, doplňkových látek a premixů a způsob uchovávání vzorků
Příl.14
Příl.14
Zkoušení homogenity
1.
Homogenita premixů a krmiv s použitím premixů
Zkoušení homogenity se uskutečňuje pomocí doplňkové látky nebo přidané aminokyseliny,
dávkované do premixu nebo do krmiv s použitím premixu. Tato doplňková látka nebo
aminokyselina musí být stanovitelná metodami zkoušení, které jsou uvedené v přílohách
č. 7 až 10. Homogenita se zkouší v rámci jedné partie.
2.
Zkoušení homogenity partie
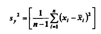
Pro test homogenity partie se vybere nj obalů nebo u volně ložených krmiv
nj hypotetických částí partie a z každé z nich se odebere jediný dílčí vzorek, který
se samostatně upraví a tím se získá nj zkušebních vzorků. Z výsledků zkoušek x1,
x2, x3....xnj se stanoví analýza s2.
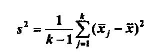
3.
Stanovení celkového rozptylu
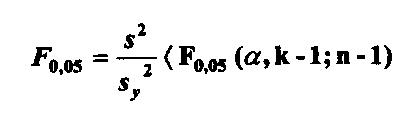
4.
Stanovení rozptylu metody
Pro stanovení rozptylu zkušební metody použijeme výraz:
kde:
n je počet paralelních opakování pro ověření metody (ověřovací
série)
xi je i-té stanovení na vzorku, který je použit k ověření metody
(ověřovací série),
-
xj je průměr stanovení u vzorku, který je použit k ověření
metody (ověřovací série), uvedených ve sloupci 7 protokolu
o zkouškách6.
Počet vzorkovaných obalů nebo hypotetických částí je následující:
------------------------------------------------------------------
Počet obalů Vzorkovaná hmotnost Počet vzorkovaných
v partii volně ložené partie - t obalů - částí
(díl. vzorků)
------------------------------------------------------------------
do 25 do 1,50 5
------------------------------------------------------------------
26 - 50 od 1,51 - 250 6
------------------------------------------------------------------
51 - 100 od 2,51 - 5,00 7
------------------------------------------------------------------
101 - 200 od 5,01 - 10,00 9
------------------------------------------------------------------
201 - 300 od 10,01 - 15,00 11
------------------------------------------------------------------
301 - 500 od 15,01 - 25,00 13
------------------------------------------------------------------
501 - 800 od 25,01 - 40,00 16
------------------------------------------------------------------
801 - 1 300 od 40,01 - 65,00 20
------------------------------------------------------------------

