Odstavec předpisu 207/2004 Sb.
Vyhláška Ministerstva zemědělství č. 207/2004 Sb., o ochraně, chovu a využití pokusných zvířat
Příl.2

Příloha 2
Obecné pokyny pro chov zvířat
                            TABULKA 1
                Teploty v prostorách pro zvířata

----------------------------------------
     Druh zvířat        Optimální
                      rozsah ve st. C
----------------------------------------
Subhumánní primáti        20 - 28
Nového světa
----------------------------------------
Myš                       20 - 24
Potkan
Křeček
Pískomil
Morče
Subhumánní primáti
Starého světa
Křepelka
----------------------------------------
Králík                   15 - 21
Kočka
Pes
Fretka
Drůbež
Holub
----------------------------------------
Prase                    10 - 24
Koza
Ovce
Skot
Kůň
----------------------------------------

Poznámka: Ve zvláštních případech, např. jde-li o umístění mladých
          nebo bezsrstých zvířat, jsou  žádoucí vyšší teploty, než
          je uvedeno.
                            TABULKA 2
                          Doba navykání

----------------------------------------
     Druh zvířat       Počet
                        dní
----------------------------------------
Myš                   5 - 15
Potkan
Pískomil
Morče
Křeček
----------------------------------------
Králík                20 - 30
Kočka
Pes
----------------------------------------
Subhumánní primáti    40 - 60
----------------------------------------
                            TABULKA 3
      Pokyny pro chov malých hlodavců a králíků během pokusu

-----------------------------------------------------
 Druh zvířat     Minimální plocha      Minimální
                podlahy pro 1 zvíře   výška klece
                       v cm
2
v cm ----------------------------------------------------- Myš 180 12 ----------------------------------------------------- Potkan 350 18 ----------------------------------------------------- Křeček 180 12 ----------------------------------------------------- Morče 600 18 ----------------------------------------------------- Králík 1 kg 1400 30 --------------------------------------------- 2 kg 2000 30 --------------------------------------------- 3 kg 2500 35 --------------------------------------------- 4 kg 3000 40 --------------------------------------------- 5 kg 3600 40 ----------------------------------------------------- Poznámka: Výška klece znamená svislou vzdálenost mezi dnem klece a horní vodorovnou částí víka nebo klece. Při plánování pokusů se bere v úvahu možný růst zvířete, aby ve všech fázích pokusu byl pro zvíře dostatečný prostor odpovídající této tabulce. Srov. grafy 1 - 5 a 8 - 12.
                            TABULKA 4
            Pokyny pro chov malých hlodavců mimo pokus

----------------------------------------------------------------------
        Druh zvířat           Minimální plocha podlahy    Minimální
                              pro 1 matku a vrh v cm
2
výška klece v cm ---------------------------------------------------------------------- Myš 200 12 ---------------------------------------------------------------------- Potkan 800 18 ---------------------------------------------------------------------- Křeček 650 12 ---------------------------------------------------------------------- Morče 1200 18 ---------------------------------------------------------------------- Morče při skupinovém držení 1000 cm
2
na 1 dospělé zvíře 18 ----------------------------------------------------------------------
                            TABULKA 5
                Pokyny pro chov králíků mimo pokus

----------------------------------------------------------------------
 Hmotnost    Minimální     Minimální    Minimální     Minimální
  králice      rozměr       plocha     výška klece    plocha na
   v kg       nejdelší    podlahy na       v cm      hnízdo v m
2
strany v cm králici a vrh v m
2
---------------------------------------------------------------------- 1 40 0,30 30 0,10 ---------------------------------------------------------------------- 2 50 0,35 30 0,10 ---------------------------------------------------------------------- 3 60 0,40 35 0,12 ---------------------------------------------------------------------- 4 70 0,45 40 0,12 ---------------------------------------------------------------------- 5 80 0,50 40 0,14 ---------------------------------------------------------------------- Poznámka: Minimální plocha podlahy na 1 králici s vrhem zahrnuje i plochu hnízda. Srov. graf 6.
 
                           TABULKA 6
                      Pokyny pro chov koček během pokusu
 
-----------------------------------------------------------------------
 Hmotnost     Minimální      Minimální      Minimální      Minimální
kočky v kg plocha podlahy  výška klece   plocha podlahy plocha podlahy
           na 1 kočku při      v cm       na 1 matku a   na 1 matku a
              klecovém                      vrh při        vrh při
            držení v m
2
klecovém boxovém držení držení v m
2
v m
2
----------------------------------------------------------------------- 0,5 - 1 0,2 50 - - ----------------------------------------------------------------------- 1 - 3 0,3 50 0,58 2 ----------------------------------------------------------------------- 3 - 4 0,4 50 0,58 2 ----------------------------------------------------------------------- 4 - 5 0,6 50 0,58 2 ----------------------------------------------------------------------- Poznámka: Pokud je to slučitelné s pokusem, je kočkám drženým v klecích poskytnuta nejméně jednou denně možnost volného pohybu. Boxy pro kočky jsou opatřeny odpočívadly a vybavením pro šplhání a broušení drápů. K výpočtu minimální plochy podlahy se započítávají nad sebou uspořádané plochy odpočívadel. Minimální výměra plochy na matku s vrhem zahrnuje i 0,18 m2 velkou plochu bedny, ve které se nacházejí mláďata. Výška klece znamená svislou vzdálenost mezi nejvyšším místem podlahy a nejnižším místem stropu klece. Srov. graf 7.
 
                            TABULKA 7
                   Pokyny pro chov koček v boxech
----------------------------------- --------------------------------------------------
                                         Podlaha v m
2
Police v m
2
Výška v m (bez polic) ----------------------------------- -------------------------------------------------- Minimum pro jednu dospělou kočku 1,5 0,5 2 Dodatečný prostor pro každou další 0,75 0,25 - kočku ----------------------------------- --------------------------------------------------
 
                            TABULKA 8
                   Pokyny pro chov fretek

----------------------------------- --------------------------------------------------
                                 Minimální     Minimální plocha   Minimální výška v
                             podlahová plocha    podlahy na 1             cm
                                klece v cm
2
zvíře v cm
2
----------------------------------- -------------------------------------------------- Zvířata do 600 g 4500 1500 50 Zvířata nad 600 g 4500 3000 50 Dospělí samci 6000 6000 50 Matka s mláďaty 5400 5400 50 ----------------------------------- --------------------------------------------------
                            TABULKA 9
            Pokyny pro chov psů v klecích během pokusu

------------------------------------------------------------------
   Výška psa      Minimální plocha podlahy klece  Minimální výška
v kohoutku v cm           na 1 psa v m
2
klece v cm ------------------------------------------------------------------ 30 0,75 60 ------------------------------------------------------------------ 40 1,00 80 ------------------------------------------------------------------ 70 1,75 140 ------------------------------------------------------------------ Poznámka: Pokud je to slučitelné s pokusem, je psům poskytnuta nejméně jednou denně možnost volného pohybu. Plochy určené pro výběh jsou tak velké, aby se pes mohl volně pohybovat. U klecí určených pro chov psů nelze použít mřížové podlahy, s výjimkou pokusů, kde jsou nutné. Vzhledem ke značným rozdílům velikosti a k omezenému poměru velikosti a hmotnosti u různých psích plemen je výška klece vyměřena podle výšky v kohoutku u každého jednotlivého zvířete. Zpravidla činí minimální výška klece dvojnásobek zjištěné výšky. K definici výšky klece viz poznámku k tabulce 6.
 
                            TABULKA 10
                   Pokyny pro chov psů v boxech

-------------------------------------------------------
Hmotnost    Minimální     Minimální plocha přilehlého
psa v kg plocha podlahy       výběhu na 1 psa v m
2
boxu pro 1 psa v m
2
------------------------------------------------------- do 3 psů více než 3 psi ---------------------------- < 6 0,5 0,5 (1,0) 0,5 (1,0) ------------------------------------------------------- 6 - 10 0,7 1,4 (2,1) 1,2 (1,9) ------------------------------------------------------- 10 - 20 1,2 1,6 (2,8) 1,4 (2,6) ------------------------------------------------------- 20 - 30 1,7 1,9 (3,6) 1,6 (3,3) ------------------------------------------------------- > 30 2,0 2,0 (4,0) 1,8 (3,8) ------------------------------------------------------- Poznámka: Čísla v závorkách udávají celkovou plochu na jednoho psa, tj. plochu podlahy boxu s připočtením přilehlého výběhu. Psi, kteří jsou trvale drženi pod širým nebem, mají přístup k chráněnému místu, kde mohou najít útočiště při špatných povětrnostních podmínkách. Při chovu psů na mřížových podlahách je vždy k dispozici pevná plocha jako místo pro spaní. Mřížové podlahy jsou používány pouze tehdy, když to pokus vyžaduje. Dělicí stěny mezi boxy jsou utvářeny tak, aby se psi nemohli navzájem poranit. Všechny boxy mají dostatečné odtoky.
 
                            TABULKA 11
                            
                   Pokyny pro chov makaků a kočkodanů1)
---------------------------------------- ---------------------------------------------------------------
                                             Minimální     Minimální    Minimální      Minimální
                                             podlahová       objem        objem      výška prostoru
                                           plocha klece v  prostoru v  prostoru na        v m
                                                 m
2
m
3
každé zvíře v m
3
---------------------------------------- --------------------------------------------------------------- Zvířata mladší než 3 roky 2,0 3,6 1,0 1,8 Zvířata starší než 3 roky 2,0 3,6 1,8 1,8 Zvířata držená pro chovné účely2) 3,5 2,0 ---------------------------------------- ---------------------------------------------------------------
1) Zvířata smí být držena individuálně pouze za výjimečných okolností.
2) V chovných koloniích není vyžadován dodatečný prostor/objem prostoru pro mláďata do dvou let ustájená spolu s matkou.
                           TABULKA 12
                 Pokyny pro chov prasat v klecích

-----------------------------------------------------
Hmotnost prasete Minimální plocha   Minimální výška
      v kg         podlahy pro 1      klece v cm
                    prase v m
2
----------------------------------------------------- 5 - 15 0,35 50 ----------------------------------------------------- 15 - 25 0,55 60 ----------------------------------------------------- 25 - 40 0,80 80 ----------------------------------------------------- Poznámka: Prasata jsou chována v klecích, jen pokud to účel pokusu vyžaduje. K definici výšky klece viz poznámka k tabulce 6.
 
                           TABULKA 13
          Pokyny pro chov hospodářských zvířat v boxech

---------------------------------------------------------------------------------------
Druhy a hmotnosti v   Minimální    Minimální     Minimální     Minimální   Minimální
         kg             plocha     délka boxů      výška        plocha       délka
                      podlahy v       v m        dělících     podlahy při   žlabu v
                          m
2
stěn mezi skupinovém m/1 zvíře boxy v m držení v m
2
/1zvíře --------------------------------------------------------------------------------------- Prasata 10 - 30 2 1,6 0,8 0,2 0,20 30 - 50 2 1,8 1,0 0,3 0,25 50 - 100 3 2,1 1,2 0,8 0,30 100 - 150 5 2,5 1,4 1,2 0,35 > 150 5 2,5 1,4 2,5 0,40 --------------------------------------------------------------------------------------- Ovce < 70 1,4 1,8 1,2 0,7 0,35 --------------------------------------------------------------------------------------- Kozy < 70 1,6 1,8 2,0 0,8 0,35 --------------------------------------------------------------------------------------- Skot < 60 2,0 1,1 1,0 0,8 0,30 60 - 100 2,2 1,8 1,0 1,0 0,30 100 - 150 2,4 1,8 1,0 1,2 0,35 200 - 400 2,6 2,2 1,4 1,6 0,55 > 400 2,8 2,2 1,4 1,8 0,65 --------------------------------------------------------------------------------------- Dospělí koně 13,5 4,5 1,8 - - ---------------------------------------------------------------------------------------
 
                            TABULKA 14
         Pokyny pro chov hospodářských zvířat ve stáních

-------------------------------------------------------------------------
    Druhy a          Minimální      Minimální délka   Minimální výška
 hmotnosti v kg     plocha v m
2
stání v m dělících stěn mezi stáními v m ------------------------------------------------------------------------- Prasata 100 - 150 1,2 2,0 0,9 ---------------------------------------------------------------- > 150 2,5 2,5 1,4 ------------------------------------------------------------------------- Ovce < 70 0,7 1,0 0,9 ------------------------------------------------------------------------- Kozy < 70 0,8 1,0 0,9 ------------------------------------------------------------------------- Skot 60 - 80 0,6 1,0 0,9 ---------------------------------------------------------------- 100 - 150 0,9 1,4 0,9 ---------------------------------------------------------------- 150 - 200 1,2 1,6 1,4 ---------------------------------------------------------------- 200 - 350 1,8 1,8 1,4 ---------------------------------------------------------------- 350 - 500 2,1 1,9 1,4 ---------------------------------------------------------------- > 500 2,6 2,2 1,4 ------------------------------------------------------------------------- Dospělí koně 4,0 2,5 1,6 Poznámka: Stání jsou tak široká, aby v nich zvířata mohla pohodlně ležet.
 
                           TABULKA 15
                 Pokyny pro chov ptáků v klecích

--------------------------------------------------------------------------------------
Druhy a hmotnosti v g   Minimální   Minimální     Minimální   Minimální   Minimální
                       plocha pro   plocha pro  plocha pro 3    výška       délka
                         1 ptáka     2 ptáky    a více ptáků  klece v cm krmítka pro
                                                                          1 ptáka v
                                                                              cm
                       ----------------------------------------
                                  v cm
2
na 1 ptáka --------------------------------------------------------------------------------------- Mladí 100 - 300 250 200 150 25 3 ptáci ------------------------------------------------------------------------------- 300 - 600 500 400 300 35 7 ------------------------------------------------------------------------------- 600 - 1200 1000 600 450 45 10 ------------------------------------------------------------------------------- 1200 - 1800 1200 700 550 45 12 ------------------------------------------------------------------------------- 1800 - 2400 1400 850 650 45 12 --------------------------------------------------------------------------------------- Dospělí > 2400 1800 1200 1000 60 15 samci --------------------------------------------------------------------------------------- Křepelky 120 - 140 350 250 200 15 4 --------------------------------------------------------------------------------------- Poznámka: Plocha klece znamená násobek její délky a šířky; určuje vodorovnou výměru vnitřního prostoru klece. Plocha neznamená násobek délky a šířky základny klece! K definici výšky klece srov. pokyn v tabulce 6. Velikost otvorů v podlaze je u kuřat do 10 týdnů maximálně 10 x 10 mm, u kuřic a dospělých ptáků maximálně 25 x 25 mm. Tloušťka drátu je nejméně 2 mm. Sklon dna klece je maximálně 14 % (8 st.). Otevřené napáječky jsou stejně dlouhé jako krmítka. Jsou-li k dispozici kapátkové napáječky, má každý pták přístup ke dvěma z nich. Klece jsou vybaveny hřadovacími tyčemi (bidélky) a koncipovány tak, aby ptáci v klecích pro jednotlivé umístění měli vzájemný zrakový kontakt.
 
                            TABULKA 16
                            
                  Pokyny pro chov drápatek1)
---------------------------------------- ----------------------------------------------------
    Délka těla  v cm    Minimální  Minimální plocha    Minimální    Optimální  Relativní
    (měřeno od tlamy     plocha     vodního povrchu  hloubka vody    teplota    vlhkost
     po řitní otvor)     vodního    pro každé další      v cm
                        povrchu v      zvíře ve
                           cm
2
skupinovém ustájení v cm
2
---------------------------------------- ---------------------------------------------------- < 6 160 40 6 18 - 22°C 100 % 6 - 9 300 75 8 9 - 12 600 150 10 > 12 920 230 12,5 ---------------------------------------- ----------------------------------------------------
1) Tyto pokyny se vztahují na nádrže ve zvěřinci (tj. při chovu), nikoli na nádrže pro přirozené páření a superovulaci, kdy se vyžadují jednotlivé nádrže menší velikosti. Prostorové požadavky jsou stanovené pro dospělé jedince v uvedených kategoriích velikosti. Mladí jedinci nebo pulci by měli být vyloučeni nebo by jim měly být rozměry přizpůsobeny.
                             GRAF 1
        Myši - podlahová plocha v závislosti na hmotnosti
                         (chov i pokus)





                             GRAF 2
      Potkani - podlahová plocha v závislosti na hmotnosti
                         (chov i pokus)





                             GRAF 3
       Křečci - podlahová plocha v závislosti na hmotnosti
                         (chov i pokus)





                             GRAF 4
      Morčata - podlahová plocha v závislosti na hmotnosti
                         (chov i pokus)





                             GRAF 5
      Králíci - podlahová plocha v závislosti na hmotnosti
                         (chov i pokus)





                             GRAF 6
     Králíci - podlahová plocha pro jednu samici s mláďaty v
                     závislosti na hmotnosti
                             (chov)





                             GRAF 7
       Kočky - podlahová plocha v závislosti na hmotnosti
                         (chov i pokus)





                             GRAF 8
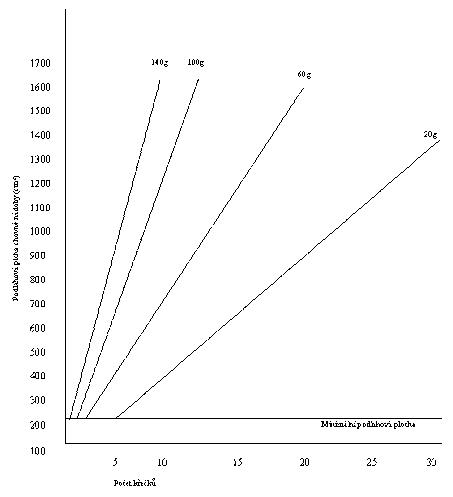
                Ukazatel vztahu mezi počtem myší
         včetně jejich průměrné hmotnosti na jeden kus,
           na chovnou nádobu a její podlahovou plochu
                         (chov i pokus)





Minimální výška chovné nádoby: 12 cm

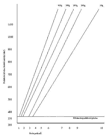
                             GRAF 9
      Ukazatel vztahu mezi počtem potkanů na chovnou nádobu
                    a její podlahovou plochu
                         (chov i pokus)





Minimální výška chovné nádoby: 18 cm

                             GRAF 10
      Ukazatel vztahu mezi počtem křečků na chovnou nádobu
                    a její podlahovou plochu
                         (chov i pokus)





Minimální výška chovné nádoby: 12 cm

Poznámka: V případě  agresivního  chování  některých  jedinců  je
          nutno je oddělit od ostatních.

                             GRAF 11
      Ukazatel vztahu mezi počtem morčat na chovnou nádobu
                    a její podlahovou plochu
                         (chov i pokus)





Minimální výška chovné nádoby: 18 cm

                             GRAF 12
           Ukazatel vztahu mezi počtem králíků v kleci
                    a její podlahovou plochu
                         (chov i pokus)





Minimální výška klece: viz tabulka 3

Tyto webové stránky využívají k analýze návštěvnosti soubory cookies. Pokud váš internetový prohlížeč má v nastavení cookies povoleny, je nezbytný váš souhlas s použitím této technologie.

Více informací

Chyba komunikace se serverem

Nastaly technické problémy. Zkontrolujte prosím připojení k síti, a pokud pracujete jako přihlášený uživatel, ověřte prosím nastavení VPN a stav přihlášení.