Odstavec předpisu 186/2022 Sb.
Vyhláška Ministerstva zemědělství č. 186/2022 Sb., kterou se mění vyhláška č. 84/1996 Sb., o lesním hospodářském plánování, a vyhláška č. 456/2021 Sb., o podrobnostech přenosu reprodukčního materiálu lesních dřevin, o evidenci o původu reprodukčního materiálu a podrobnostech o obnově lesních porostů a o zalesňování pozemků prohlášených za pozemky určené k plnění funkcí lesa
Čl.I
Čl.I
Vyhláška č. 84/1996 Sb., o lesním hospodářském plánování, se mění takto:
1. Poznámky pod čarou č. 2 až 4 se včetně odkazů na ně zrušují.
2. V § 4 se na konci odstavce 1 tečka nahrazuje slovem "a" a doplňuje se
písmeno d), které zní:
"d) údaje z jednotlivých inventarizačních ploch, je-li prováděno zjišťování
stavu lesa na inventarizační ploše.".
3. V § 4 se na konci odstavce 2 tečka nahrazuje slovem "a" a doplňuje se
písmeno c), které zní:
"c) údaje se uvádějí souhrnně za hospodářské skupiny, je-li prováděno zjišťování
stavu lesa na inventarizační ploše.".
4. V § 4 odst. 3 se na konci textu písmene b) doplňují slova "a zakmenění;
v případech zjišťování stavu lesa na inventarizační ploše je zakmenění uváděno pouze,
jedná-li se o stejnověké lesní porosty".
5. V § 4 odst. 3 se na konci textu písmene c) doplňují slova " ; v případech
zjišťování stavu lesa na inventarizační ploše jsou zakmenění a věk etáže uváděny
pouze, jedná-li se o stejnověké lesní porosty".
6. V § 4 odst. 3 písm. d) se slovo "genetická" nahrazuje slovem "fenotypová",
tečka se nahrazuje čárkou a na konci textu se doplňují slova " ; v případech zjišťování
stavu lesa na inventarizační ploše se pro dřeviny uvádí pouze zastoupení a fenotypová
klasifikace, a to u porostů uznaných a u porostů geneticky nevhodných".
7. V § 4 se na konci odstavce 3 doplňuje písmeno e), které zní:
"e) hospodářskou skupinu uvádí
1. výměra,
2. inventarizovaná zásoba předchozí
celková (m
3
b. k.) a hektarová (m3
b. k./ha),3. inventarizovaná zásoba současná celková
(m
3
b. k.) a hektarová (m3
b. k./ha),4. průměrná roční těžba za inventarizované období
podle lesní hospodářské evidence, celková (m
3
b. k./rok) a hektarová (m3
b. k./ha/rok),5.
průměrný roční přírůst za inventarizované období, celkový (m
3
b. k./rok) a hektarový
(m3
b. k./ha/rok),6. zastoupení jednotlivých druhů dřevin,
7. inventarizovaná zásoba
současná jednotlivých druhů dřevin (m
3
b. k.),8. inventarizovaná zásoba současná
v tloušťkových třídách (m
3
b. k.) a9. počet kmenů hroubí v tloušťkových třídách.".
8. V § 4 odst. 4 písmeno a) zní:
"a) výši a umístění mýtních těžeb na celcích s výměrou lesů hospodářských
a lesů zvláštního určení menší než 50 ha, v lesích ochranných, v lesích přírodě blízké
zóny národních parků, národních přírodních rezervací, přírodních rezervací, národních
přírodních památek a přírodních památek,".
9. V § 5 odst. 2 se věta pátá včetně poznámky pod čarou č. 6 zrušuje.
10. V § 6 se na konci odstavce 3 doplňuje věta "V případech zjišťování
stavu lesa na inventarizační ploše se porosty sdružují do hospodářských skupin.".
11. V § 6 se za odstavec 8 vkládá nový odstavec 9, který zní:
"(9) Hospodářské skupiny sdružují porosty s obdobnými klimatickými a půdními
charakteristikami, případně také funkčním zaměřením a stavem lesa a jsou základní
jednotkou pro zjišťování a uvádění stavu lesa a plánování hospodářských opatření
v případech, kdy je stav lesa zjišťován na inventarizační ploše. Hospodářské skupiny
se označují arabskými čísly s podtržením.".
Dosavadní odstavce 9 až 11 se označují jako odstavce 10 až 12.
12. V § 6 odst. 10 se za slovo "Jako" vkládá slovo "porostní".
13. V § 7 písmena f) a g) znějí:
"f) zakmenění porostní skupiny, které je součtem zakmenění jednotlivých
etáží; pro potřebu tohoto výpočtu se zakmenění etáže přepočte na plochu porostní
skupiny; zakmeněním etáže se rozumí součet zakmenění jednotlivých dřevin lesního
porostu v dané etáži, vynásobený hodnotou 10 a zaokrouhlený na celé číslo; zakmeněním
dřeviny se rozumí podíl skutečné hektarové a tabulkové zásoby, nebo skutečné hektarové
a tabulkové výčetní kruhové základny příslušné dřeviny v dané etáži; hodnota zakmenění
10 odpovídá plné tabulkové zásobě nebo kruhové základně taxačních nebo růstových
tabulek schválených Ministerstvem zemědělství (dále jen "taxační tabulky"), uvedených
v příloze č. 3 k této vyhlášce7),
g) zastoupení dřevin, které udává procentuální podíl zakmenění jednotlivých
dřevin zjištěných v šetřené jednotce a celkového zakmenění; v případech, kdy je stav
lesa zjišťován na inventarizační ploše, se zastoupení dřevin určí jako procentuální
podíl zásob jednotlivých dřevin v rámci hospodářské skupiny; zastoupení lze stanovit
rovněž odhadem, zejména pro lesní porosty, které ještě nedosáhly registrační hranice
hroubí; udává se zpravidla v desítkách procent nebo podrobněji; dřeviny se zastoupením
nižším než dolní vyčíslená hranice se vedou jako vtroušené; seznam lesních dřevin
s jejich zkratkami je uveden v příloze č. 4 k této vyhlášce,".
14. V § 7 písm. i) a j) se slovo "hlavního" zrušuje.
15. V § 7 písm. k) se slova "pro hlavní porost" zrušují.
16. Za § 7 se vkládají nové § 7a až 7d, které včetně nadpisu znějí:
"Zjišťování stavu lesa na inventarizační ploše
§ 7a
Při zjišťování stavu lesa na inventarizační ploše se
a) referenční inventarizační sítí rozumí síť inventarizačních lokalit
pokrývající celé území České republiky spravovaná Ministerstvem zemědělství,
b) inventarizační lokalitou (dále jen "lokalita") rozumí místo,
kde se v rámci provádění inventarizace zjišťují údaje o stavu lesa; lokalita je charakterizována
svou polohou v souřadnicovém systému Jednotné trigonometrické sítě katastrální, počtem
a způsobem prostorového uspořádání inventarizačních ploch,
c) inventarizační plochou rozumí část území, na které se přímo
provádí inventarizační šetření; inventarizační plochu tvoří její střed, pevně určený
souřadnicemi vzhledem k poloze lokality, a alespoň jedna kruhová podplocha,
d) kruhovou podplochou (dále jen "podplocha") rozumí kruhová plocha,
se středem umístěným na středu inventarizační plochy; každá inventarizační plocha
obsahuje alespoň jednu podplochu pro registraci kmenů hroubí,
e) stratem rozumí prostorově pevně vymezená část inventarizovaného
celku, pro kterou je v rámci provedení inventarizace navrhována optimální plošná
hustota a počet lokalit, přičemž v případě požadavku na vyšší přesnost odhadu cílových
parametrů pro jednotlivé hospodářské skupiny tvoří tyto skupiny zároveň výběrová
strata,
f) kmenem hroubí rozumí prvek populace kmenů, který má výčetní
tloušťku větší než 7 cm s kůrou, přičemž poloha kmene je shodná s polohou bodu na
jeho střednici, který se nachází ve vzdálenosti 1,3 mod jejího průsečíku s vodorovnou
rovinou ve výšce paty kmene, a
g) směrodatnou chybou rozumí odmocnina odhadu variability bodového
odhadu vypočtená podle přílohy č. 6 k této vyhlášce.
§ 7b
(1) Zjišťování stavu lesa na inventarizační ploše lze využít pro všechny
hospodářské způsoby. Zjišťování stavu lesa na inventarizační ploše se provádí terénním
šetřením na lokalitách, jejichž polohy jsou odvozeny od referenční inventarizační
sítě.
(2) Každá lokalita musí obsahovat alespoň jednu inventarizační plochu.
Počet lokalit se volí tak, aby byly dodrženy minimální kvalitativní požadavky na
zjišťování stavu lesa uvedené v § 7c, zároveň však nesmí klesnout pod 50 v rámci
jednoho celku.
(3) Ministerstvo zemědělství a na území národních parků a jejich
ochranných pásem Ministerstvo životního prostředí poskytne vlastníkovi lesa na základě
jeho žádosti polohy lokalit pro jeho celek. Žádost musí obsahovat
a) identifikaci vlastníka,
b) identifikaci celku,
c) digitální vektorové vymezení hranic celku a jeho inventarizované
části,
d) seznam a definice nových strat podle přílohy č. 6 k této vyhlášce,
e) seznam identifikátorů existujících strat navržených ke zrušení
a
f) seznam identifikátorů existujících strat s uvedením počtu dodatečně
požadovaných lokalit.
(4) Polohy inventarizačních ploch jsou v terénu trvale stabilizovány
tak, aby bylo možné při zpracování následujícího plánu na dané inventarizační ploše
opakovaně identifikovat jednotlivé kmeny hroubí.
(5) Opakované zjišťování stavu lesa na inventarizační ploše nelze provádět
v intervalu kratším 5 let.
(6) Způsob provádění zjišťování stavu lesa na inventarizační ploše
a rozsah zjišťovaných údajů na inventarizační ploše je uveden v příloze č. 6 k této
vyhlášce.
§ 7c
(1) Směrodatná chyba odhadu zásoby pro část celku, na kterém byl stav
lesa zjišťován na inventarizační ploše, nesmí přesáhnout 25 m
3
b. k. na jeden hektar
porostní půdy, nebo nesmí přesáhnout 10 % z bodového odhadu zásoby hroubí na jeden
hektar porostní půdy.(2) Směrodatná chyba odhadu roční celkové výše těžby nesmí přesáhnout
1 m
3
b. k. na jeden hektar porostní půdy, nebo nesmí přesáhnout 10 % z bodového odhadu
roční celkové výše těžby na jeden hektar porostní půdy.§ 7d
(1) Stav lesa, popsaný inventarizovanými veličinami, se statisticky
vyhodnocuje pro hospodářskou skupinu a celek, případně jeho část, na které byl stav
lesa zjišťován na inventarizační ploše.
(2) Statistické vyhodnocení stavu lesa se provádí postupem uvedeným
v příloze č. 6 k této vyhlášce.
(3) Součástí vyhodnocení stavu lesa je lesnická mapa se zobrazením
strat a středů inventarizačních ploch a jejich jednoznačných identifikátorů umožňujících
přiřazení k lokalitám referenční inventarizační sítě.".
17. V § 8 odst. 1 úvodní části ustanovení se za slova "v odstavci 12" vkládají
slova "a lesů, v nichž je stav lesa zjišťován na inventarizační ploše".
18. V § 8 odstavec 12 zní:
"(12) V lesích prvních zón chráněných krajinných oblastí, národních přírodních
rezervací, přírodních rezervací, národních přírodních památek a přírodních památek
je pro určení výše těžby rozhodující schválený plán péče pro tato území8). Lesy zařazené
do přírodní zóny národních parků se nezahrnují do výpočtu závazného ustanovení maximální
celková výše těžeb, v lesích zařazených do zóny přírodě blízké se závazné ustanovení
maximální celková výše těžeb stanoví jako součet těžeb umístěných v jednotlivých
lesních porostech.".
19. V § 8 odst. 13 se za slova "způsobem výběrným" vkládají slova " , s
výjimkou lesů, ve kterých je stav lesa zjišťován na inventarizační ploše,".
20. V § 8 se za odstavec 13 vkládá nový odstavec 14, který zní:
"(14) Pro lesy, ve kterých je stav lesa zjišťován na inventarizační ploše,
se stanoví ukazatel celkové výše těžeb, přičemž těžba mýtní a předmýtní se nerozlišuje,
pomocí celkového běžného přírůstu podle přílohy č. 6 k této vyhlášce.".
Dosavadní odstavec 14 se označuje jako odstavec 15.
21. V § 8 se doplňuje odstavec 16, který zní:
"(16) Překročení poměrné části závazného ustanovení maximální celková výše
těžeb v plánu, o jehož zkrácení doby platnosti je žádáno, je důvodem ke snížení závazného
ustanovení maximální celková výše těžeb podle předchozího odstavce. Závazné ustanovení
maximální celková výše těžeb bude v návrhu nového plánu sníženo o výši překročení
této poměrné části.".
22. Poznámka pod čarou č. 9 zní:
"9) Příloha č. 2 k vyhlášce č. 298/2018 Sb., o zpracování oblastních
plánů rozvoje lesů a o vymezení hospodářských souborů.".
23. V § 9 odst. 1 se slova "porostních skupin" nahrazují slovem "etáží".
24. V § 11 odst. 1 se za slova "hrozí-li střet zájmů oprávněných osob,"
vkládají slova "nebo v případech zjišťování stavu lesa na inventarizační ploše,".
25. V § 11 odst. 1, 4 a 5 se text "§ 33 odst. 4" nahrazuje textem "§ 33
odst. 5".
26. V § 14 odst. 1 se číslo "11" nahrazuje číslem "12".
27. V § 14 odst. 5 věta druhá zní: "Terénní šetření pro zpracování osnov
nelze provádět způsobem zjišťování stavu lesa na inventarizační ploše.".
28. V § 15 odst. 3 se slovo "genetickou" nahrazuje slovem "fenotypovou".
29. Přílohy č. 1 a 2 znějí:
"Příloha č. 1 k vyhlášce č. 84/1996 Sb.
0
Závěrečné tabulky souhrnných údajů lesních hospodářských plánů (LHP)
a lesních hospodářských osnov (LHO)
1
Závěrečné tabulky souhrnných údajů LHP a LHO
2
Závěrečné tabulky souhrnných údajů LHP a LHO pro lesy, ve kterých
není stav lesa zjišťován na inventarizačních plochách, případně jinou kontrolní metodou
(zejména průměrkováním naplno)
3a
Závěrečné tabulky souhrnných údajů LHP a LHO pro lesy, ve kterých
není stav lesa zjišťován na inventarizačních plochách, případně jinou kontrolní metodou
(zejména průměrkováním naplno)
Porostní plocha podle dřevin a věkových stupňů
I-----------------------------I----I----I----I----I----I----I----I----I----I I \ Věkový stupeň I 1 I 2 I 3 I 4 I 5 I 6 I 7 I 8 I 9 I I \ I----I----I----I----I----I----I----I----I----I I Dřevina \ I ha I I-----------------------------I----I----I----I----I----I----I----I----I----I I smrk ztepilý I I I I I I I I I I I-----------------------------I----I----I----I----I----I----I----I----I----I I jedle bělokorá I I I I I I I I I I I-----------------------------I----I----I----I----I----I----I----I----I----I I borovice lesní I I I I I I I I I I I-----------------------------I----I----I----I----I----I----I----I----I----I I modřín opadavý I I I I I I I I I I I-----------------------------I----I----I----I----I----I----I----I----I----I I borovice kleč I I I I I I I I I I I-----------------------------I----I----I----I----I----I----I----I----I----I I douglaska tisolistá I I I I I I I I I I I-----------------------------I----I----I----I----I----I----I----I----I----I I jedle obrovská I I I I I I I I I I I-----------------------------I----I----I----I----I----I----I----I----I----I I smrky ostatní I I I I I I I I I I I-----------------------------I----I----I----I----I----I----I----I----I----I I ostatní jehličnaté I I I I I I I I I I I-----------------------------I----I----I----I----I----I----I----I----I----I I souše jehličnaté I I I I I I I I I I I-----------------------------I----I----I----I----I----I----I----I----I----I I dub letní I I I I I I I I I I I-----------------------------I----I----I----I----I----I----I----I----I----I I dub zimní I I I I I I I I I I I-----------------------------I----I----I----I----I----I----I----I----I----I I buk lesní I I I I I I I I I I I-----------------------------I----I----I----I----I----I----I----I----I----I I habr obecný I I I I I I I I I I I-----------------------------I----I----I----I----I----I----I----I----I----I I javory I I I I I I I I I I I-----------------------------I----I----I----I----I----I----I----I----I----I I jasany I I I I I I I I I I I-----------------------------I----I----I----I----I----I----I----I----I----I I jilmy I I I I I I I I I I I-----------------------------I----I----I----I----I----I----I----I----I----I I trnovník akát I I I I I I I I I I I-----------------------------I----I----I----I----I----I----I----I----I----I I břízy I I I I I I I I I I I-----------------------------I----I----I----I----I----I----I----I----I----I I olše I I I I I I I I I I I-----------------------------I----I----I----I----I----I----I----I----I----I I lípy I I I I I I I I I I I-----------------------------I----I----I----I----I----I----I----I----I----I I topoly nešlechtěné I I I I I I I I I I I-----------------------------I----I----I----I----I----I----I----I----I----I I topoly šlechtěné I I I I I I I I I I I-----------------------------I----I----I----I----I----I----I----I----I----I I vrby I I I I I I I I I I I-----------------------------I----I----I----I----I----I----I----I----I----I I ostatní listnaté tvrdé I I I I I I I I I I I-----------------------------I----I----I----I----I----I----I----I----I----I I ostatní listnaté měkké I I I I I I I I I I I-----------------------------I----I----I----I----I----I----I----I----I----I I souše listnaté I I I I I I I I I I I-----------------------------I----I----I----I----I----I----I----I----I----I I keře I I I I I I I I I I I-----------------------------I----I----I----I----I----I----I----I----I----I I Celkem I I I I I I I I I I I-----------------------------I----I----I----I----I----I----I----I----I----I I Normální plocha I I I I I I I I I I I-----------------------------I----I----I----I----I----I----I----I----I----I
3b
Závěrečné tabulky souhrnných údajů LHP a LHO pro lesy, ve kterých
není stav lesa zjišťován na inventarizačních plochách, případně jinou kontrolní metodou
(zejména průměrkováním naplno)
Porostní plocha podle dřevin a věkových stupňů
I-----------------------------I----I----I----I----I----I----I----I----I
I \ Věkový stupeň I 10 I 11 I 12 I 13 I 14 I 15 I 16 I 17 I
I \ I----I----I----I----I----I----I----I----I
I Dřevina \ I ha I
I-----------------------------I----I----I----I----I----I----I----I----I
I smrk ztepilý I I I I I I I I I
I-----------------------------I----I----I----I----I----I----I----I----I
I jedle bělokorá I I I I I I I I I
I-----------------------------I----I----I----I----I----I----I----I----I
I borovice lesní I I I I I I I I I
I-----------------------------I----I----I----I----I----I----I----I----I
I modřín opadavý I I I I I I I I I
I-----------------------------I----I----I----I----I----I----I----I----I
I borovice kleč I I I I I I I I I
I-----------------------------I----I----I----I----I----I----I----I----I
I douglaska tisolistá I I I I I I I I I
I-----------------------------I----I----I----I----I----I----I----I----I
I jedle obrovská I I I I I I I I I
I-----------------------------I----I----I----I----I----I----I----I----I
I smrky ostatní I I I I I I I I I
I-----------------------------I----I----I----I----I----I----I----I----I
I ostatní jehličnaté I I I I I I I I I
I-----------------------------I----I----I----I----I----I----I----I----I
I souše jehličnaté I I I I I I I I I
I-----------------------------I----I----I----I----I----I----I----I----I
I dub letní I I I I I I I I I
I-----------------------------I----I----I----I----I----I----I----I----I
I dub zimní I I I I I I I I I
I-----------------------------I----I----I----I----I----I----I----I----I
I buk lesní I I I I I I I I I
I-----------------------------I----I----I----I----I----I----I----I----I
I habr obecný I I I I I I I I I
I-----------------------------I----I----I----I----I----I----I----I----I
I javory I I I I I I I I I
I-----------------------------I----I----I----I----I----I----I----I----I
I jasany I I I I I I I I I
I-----------------------------I----I----I----I----I----I----I----I----I
I jilmy I I I I I I I I I
I-----------------------------I----I----I----I----I----I----I----I----I
I trnovník akát I I I I I I I I I
I-----------------------------I----I----I----I----I----I----I----I----I
I břízy I I I I I I I I I
I-----------------------------I----I----I----I----I----I----I----I----I
I olše I I I I I I I I I
I-----------------------------I----I----I----I----I----I----I----I----I
I lípy I I I I I I I I I
I-----------------------------I----I----I----I----I----I----I----I----I
I topoly nešlechtěné I I I I I I I I I
I-----------------------------I----I----I----I----I----I----I----I----I
I topoly šlechtěné I I I I I I I I I
I-----------------------------I----I----I----I----I----I----I----I----I
I vrby I I I I I I I I I
I-----------------------------I----I----I----I----I----I----I----I----I
I ostatní listnaté tvrdé I I I I I I I I I
I-----------------------------I----I----I----I----I----I----I----I----I
I ostatní listnaté měkké I I I I I I I I I
I-----------------------------I----I----I----I----I----I----I----I----I
I souše listnaté I I I I I I I I I
I-----------------------------I----I----I----I----I----I----I----I----I
I keře I I I I I I I I I
I-----------------------------I----I----I----I----I----I----I----I----I
I Celkem I I I I I I I I I
I-----------------------------I----I----I----I----I----I----I----I----I
I Normální plocha I I I I I I I I I
I-----------------------------I----I----I----I----I----I----I----I----I
3c
Závěrečné tabulky souhrnných údajů LHP a LHO pro lesy, ve kterých
není stav lesa zjišťován na inventarizačních plochách, případně jinou kontrolní metodou
(zejména průměrkováním naplno)
3d
Závěrečné tabulky souhrnných údajů LHP a LHO pro lesy, ve kterých
je stav lesa zjišťován na inventarizačních plochách, případně jinou kontrolní metodou
(zejména průměrkováním naplno)
3e
Závěrečné tabulky souhrnných údajů LHP a LHO pro lesy, ve kterých
je stav lesa zjišťován na inventarizačních plochách, případně jinou kontrolní metodou
(zejména průměrkováním naplno)
4a
Závěrečné tabulky souhrnných údajů LHP a LHO pro lesy, ve kterých
není stav lesa zjišťován na inventarizačních plochách, případně jinou kontrolní metodou
(zejména průměrkováním naplno)
Základní údaje podle kategorií lesa a obmytí
I----------------I--------I-----------------I--------------------------------I I Kategorie lesa I Obmytí I Porostní plocha I Zásoba I I I I I------------I----------I--------I I I I I jehličnatá I listnatá I celkem I I I I-----------------I------------I----------I--------I I I I ha I m3b. k. I I----------------I--------I-----------------I------------I----------I--------I I I I I I I I I----------------I--------I-----------------I------------I----------I--------I I I I I I I I I----------------I--------I-----------------I------------I----------I--------I I I I I I I I I----------------I--------I-----------------I------------I----------I--------I I I I I I I I I----------------I--------I-----------------I------------I----------I--------I I I I I I I I I----------------I--------I-----------------I------------I----------I--------I I I I I I I I I----------------I--------I-----------------I------------I----------I--------I I I I I I I I I----------------I--------I-----------------I------------I----------I--------I I I I I I I I I----------------I--------I-----------------I------------I----------I--------I I I I I I I I I----------------I--------I-----------------I------------I----------I--------I I I I I I I I I----------------I--------I-----------------I------------I----------I--------I I I I I I I I I----------------I--------I-----------------I------------I----------I--------I I I I I I I I I----------------I--------I-----------------I------------I----------I--------I I I I I I I I I----------------I--------I-----------------I------------I----------I--------I I I I I I I I I----------------I--------I-----------------I------------I----------I--------I I I I I I I I I----------------I--------I-----------------I------------I----------I--------I I I I I I I I I----------------I--------I-----------------I------------I----------I--------I I I I I I I I I----------------I--------I-----------------I------------I----------I--------I I I I I I I I I----------------I--------I-----------------I------------I----------I--------I I I I I I I I I----------------I--------I-----------------I------------I----------I--------I I I I I I I I I----------------I--------I-----------------I------------I----------I--------I I I I I I I I I----------------I--------I-----------------I------------I----------I--------I I I I I I I I I----------------I--------I-----------------I------------I----------I--------I I I I I I I I I----------------I--------I-----------------I------------I----------I--------I I I I I I I I I----------------I--------I-----------------I------------I----------I--------I I I I I I I I I----------------I--------I-----------------I------------I----------I--------I I I I I I I I I----------------I--------I-----------------I------------I----------I--------I I I I I I I I I----------------I--------I-----------------I------------I----------I--------I I I I I I I I I----------------I--------I-----------------I------------I----------I--------I I celkem I I I I I I I----------------I--------I-----------------I------------I----------I--------I Číselný kód pro vyplnění sloupce - kategorie lesa: 1 - les hospodářský 2 - les ochranný 3 - les zvláštního určení
4b
Závěrečné tabulky souhrnných údajů LHP a LHO pro lesy, ve kterých
je stav lesa zjišťován na inventarizačních plochách, případně jinou kontrolní metodou
(zejména průměrkováním naplno)
5
Závěrečné tabulky souhrnných údajů LHP a LHO
Základní údaje podle hospodářského způsobu, kategorií a tvarů lesa
I---------------------I----------I-------------------------------------------I I Kategorie lesa I Tvar I Hospodářský způsob holosečný, násečný I I I lesa I a podrostní pro lesy, ve kterých I I I I není stav lesa zjišťován na I I I I inventarizačních plochách I I I I----------I--------------------------------I I I I Porostní I Zásoba I I I I plocha I------------I----------I--------I I I I I jehličnatá I listnatá I celkem I I I I----------I------------I----------I--------I I I I ha I m3b. k I I---------------------I----------I----------I------------I----------I--------I I lesy hospodářské I vysoký I I I I I I I----------I----------I------------I----------I--------I I I nízký I I I I I I I----------I----------I------------I----------I--------I I I střední I I I I I I---------------------I----------I----------I------------I----------I--------I I lesy ochranné I vysoký I I I I I I I----------I----------I------------I----------I--------I I I nízký I I I I I I I----------I----------I------------I----------I--------I I I střední I I I I I I---------------------I----------I----------I------------I----------I--------I I lesy zvláštního I vysoký I I I I I I určení I----------I----------I------------I----------I--------I I I nízký I I I I I I I----------I----------I------------I----------I--------I I I střední I I I I I I---------------------I----------I----------I------------I----------I--------I I--------------------------------I-------------------------------------------I I Kategorie lesa I Hospodářský způsob výběrný I I I----------I--------------------------------I I I Porostní I Zásoba I I I půda I------------I----------I--------I I I I jehličnatá I listnatá I celkem I I I----------I------------I----------I--------I I I ha I m3b. k I I--------------------------------I----------I------------I----------I--------I I lesy hospodářské I I I I I I--------------------------------I----------I------------I----------I--------I I lesy ochranné I I I I I I--------------------------------I----------I------------I----------I--------I I lesy zvláštního určení I I I I I I--------------------------------I----------I------------I----------I--------I I--------------------------------I-------------------------------------------I I Kategorie lesa I Hospodářský způsob holosečný, násečný I I I a podrostní pro lesy, ve kterých I I I je stav lesa zjišťován na I I I inventarizačních plochách I I I----------I--------------------------------I I I Porostní I Zásoba I I I půda I------------I----------I--------I I I I jehličnatá I listnatá I celkem I I I----------I------------I----------I--------I I I ha I m3b. k I I--------------------------------I----------I------------I----------I--------I I lesy hospodářské I I I I I I--------------------------------I----------I------------I----------I--------I I lesy ochranné I I I I I I--------------------------------I----------I------------I----------I--------I I lesy zvláštního určení I I I I I I--------------------------------I----------I------------I----------I--------I
6
Závěrečné tabulky souhrnných údajů LHP a LHO
30. Přílohy č. 4 a 5 znějí:
"Příloha č. 4 k vyhlášce č. 84/1996 Sb.
Jména a zkratky dřevin
I-------------------------------I----------------------------------I---------I
I České jméno I Vědecké jméno I Zkratka I
I-------------------------------I----------------------------------I---------I
I smrk ztepilý I Picea abies I SM I
I-------------------------------I----------------------------------I---------I
I smrk pichlavý I Picea pungens I SMP I
I-------------------------------I----------------------------------I---------I
I smrk černý I Picea mariana I SMC I
I-------------------------------I----------------------------------I---------I
I smrk sivý I Picea glauca I SMS I
I-------------------------------I----------------------------------I---------I
I smrk omorika I Picea omorika I SMO I
I-------------------------------I----------------------------------I---------I
I smrk Engelmannův I Picea engelmannii I SME I
I-------------------------------I----------------------------------I---------I
I smrky ostatní I SMX I
I-------------------------------I----------------------------------I---------I
I jedle bělokorá I Abies alba I JD I
I-------------------------------I----------------------------------I---------I
I jedle obrovská I Abies grandis I JDO I
I-------------------------------I----------------------------------I---------I
I jedle stejnobarvá (ojíněná) I Abies concolor I JDJ I
I-------------------------------I----------------------------------I---------I
I jedle kavkazská I Abies nordmanniana I JDK I
I-------------------------------I----------------------------------I---------I
I jedle vznešená I Abies procera I JDV I
I-------------------------------I----------------------------------I---------I
I jedle ostatní I JDX I
I-------------------------------I----------------------------------I---------I
I douglaska tisolistá I Pseudotsuga menziesii I DG I
I-------------------------------I----------------------------------I---------I
I borovice lesní I Pinus sylvestris I BO I
I-------------------------------I----------------------------------I---------I
I borovice černá I Pinus nigra I BOC I
I-------------------------------I----------------------------------I---------I
I borovice Banksova I Pinus banksiana I BKS I
I-------------------------------I----------------------------------I---------I
I borovice vejmutovka I Pinus strobus I VJ I
I-------------------------------I----------------------------------I---------I
I borovice limba I Pinus cembra I LMB I
I-------------------------------I----------------------------------I---------I
I borovice pokroucená I Pinus contorta I BOP I
I-------------------------------I----------------------------------I---------I
I borovice zobanitá (blatka) I Pinus uncinata ssp. uliginosa I BL I
I-------------------------------I----------------------------------I---------I
I borovice kleč I Pinus mugo I KOS I
I-------------------------------I----------------------------------I---------I
I borovice ostatní I BOX I
I-------------------------------I----------------------------------I---------I
I modřín opadavý I Larix decidua I MD I
I-------------------------------I----------------------------------I---------I
I modříny ostatní I MDX I
I-------------------------------I----------------------------------I---------I
I tis červený I Taxus baccata I TS I
I-------------------------------I----------------------------------I---------I
I jalovec obecný I Juniperus communis I JAL I
I-------------------------------I----------------------------------I---------I
I ostatní jehličnaté I JX I
I------------------------------------------------------------------I---------I
I souše jehličnaté I SOJ I
I-------------------------------I----------------------------------I---------I
I dub letní I Quercus robur I DB I
I-------------------------------I----------------------------------I---------I
I dub letní slavonský I Quercus robur f. slavonica I DBS I
I-------------------------------I----------------------------------I---------I
I dub zimní I Quercus petraea I DBZ I
I-------------------------------I----------------------------------I---------I
I dub červený I Quercus rubra I DBC I
I-------------------------------I----------------------------------I---------I
I dub pýřitý (šipák) I Quercus pubescens I DBP I
I-------------------------------I----------------------------------I---------I
I dub bažinný I Quercus palustris I DBB I
I-------------------------------I----------------------------------I---------I
I dub mnohoplodý I Quercus polycarpa I DBM I
I-------------------------------I----------------------------------I---------I
I dub cer I Quercus cerris I CER I
I-------------------------------I----------------------------------I---------I
I duby ostatní I DBX I
I-------------------------------I----------------------------------I---------I
I buk lesní I Fagus sylvatica I BK I
I-------------------------------I----------------------------------I---------I
I habr obecný I Carpinus betulus I HB I
I-------------------------------I----------------------------------I---------I
I javor mléč I Acer platanoides I JV I
I-------------------------------I----------------------------------I---------I
I javor klen I Acer pseudoplatanus I KL I
I-------------------------------I----------------------------------I---------I
I javor babyka I Acer campestre I BB I
I-------------------------------I----------------------------------I---------I
I javor jasanolistý I Acer negundo I JVJ I
I-------------------------------I----------------------------------I---------I
I jasan ztepilý I Fraxinus excelsior I JS I
I-------------------------------I----------------------------------I---------I
I jasan americký I Fraxinus americana I JSA I
I-------------------------------I----------------------------------I---------I
I jasan úzkolistý I Fraxinus angustifolia I JSU I
I-------------------------------I----------------------------------I---------I
I jasan pensylvánský I Fraxinus pennsylvanica I JSP I
I-------------------------------I----------------------------------I---------I
I jilm habrolistý I Ulmus minor I JL I
I-------------------------------I----------------------------------I---------I
I jilm drsný (horský) I Ulmus glabra I JLH I
I-------------------------------I----------------------------------I---------I
I jilm vaz I Ulmus laevis I JLV I
I-------------------------------I----------------------------------I---------I
I trnovník akát I Robinia pseudoacacia I AK I
I-------------------------------I----------------------------------I---------I
I bříza bělokorá I Betula pendula I BR I
I-------------------------------I----------------------------------I---------I
I bříza pýřitá I Betula pubescens I BRP I
I-------------------------------I----------------------------------I---------I
I bříza pýřitá karpatská I Betula pubescens carpatica I BRC I
I-------------------------------I----------------------------------I---------I
I jeřáb ptačí I Sorbus aucuparia I JR I
I-------------------------------I----------------------------------I---------I
I jeřáb břek I Sorbus torminalis I BRK I
I-------------------------------I----------------------------------I---------I
I jeřáb oskeruše I Sorbus domestica I OSK I
I-------------------------------I----------------------------------I---------I
I jeřáby ostatní I I JRX I
I-------------------------------I----------------------------------I---------I
I ořešák královský I Juglans regia I OR I
I-------------------------------I----------------------------------I---------I
I ořešák černý I Juglans nigra I ORC I
I-------------------------------I----------------------------------I---------I
I třešeň ptačí I Prunus avium I TR I
I-------------------------------I----------------------------------I---------I
I střemcha obecná I Prunus padus I STO I
I-------------------------------I----------------------------------I---------I
I střemcha pozdní I Prunus serotina I STP I
I-------------------------------I----------------------------------I---------I
I hrušeň polnička I Pyrus pyraster I HR I
I-------------------------------I----------------------------------I---------I
I jabloň lesní I Malus sylvestris I JB I
I-------------------------------I----------------------------------I---------I
I platan javorolistý I Platanus xhispanica I PL I
I-------------------------------I----------------------------------I---------I
I kaštanovník jedlý I Castanea sativa I KJ I
I-------------------------------I----------------------------------I---------I
I ostatní listnaté tvrdé I LTX I
I-------------------------------I----------------------------------I---------I
I lípa srdčitá (malolistá) I Tilia cordata I LP I
I-------------------------------I----------------------------------I---------I
I lípa velkolistá I Tilia platyphyllos I LPV I
I-------------------------------I----------------------------------I---------I
I lípa stříbrná I Tilia tomentosa I LPS I
I-------------------------------I----------------------------------I---------I
I líska obecná I Corylus avellana I LO I
I-------------------------------I----------------------------------I---------I
I líska turecká I Corylus colurna I LTU I
I-------------------------------I----------------------------------I---------I
I olše lepkavá I Alnus glutinosa I OL I
I-------------------------------I----------------------------------I---------I
I olše šedá I Alnus incana I OLS I
I-------------------------------I----------------------------------I---------I
I olše zelená I Alnus alnobetula I OLZ I
I-------------------------------I----------------------------------I---------I
I topol osika I Populus tremula I OS I
I-------------------------------I----------------------------------I---------I
I topol bílý (linda) I Populus alba I TP I
I-------------------------------I----------------------------------I---------I
I topol černý I Populus nigra I TPC I
I-------------------------------I----------------------------------I---------I
I topol šedý I Populus xcanescens I TPE I
I-------------------------------I----------------------------------I---------I
I ostatní topoly nešlechtěné I TPX I
I-------------------------------I----------------------------------I---------I
I topol kanadský I Populus xcanadensis I TPK I
I-------------------------------I----------------------------------I---------I
I ostatní topoly šlechtěné I TPS I
I-------------------------------I----------------------------------I---------I
I vrba jíva I Salix caprea I JIV I
I-------------------------------I----------------------------------I---------I
I vrba bílá I Salix alba I VR I
I-------------------------------I----------------------------------I---------I
I vrba křehká I Salix euxina I VRH I
I-------------------------------I----------------------------------I---------I
I vrba košíkářská I Salix viminalis I VRK I
I-------------------------------I----------------------------------I---------I
I vrba nachová I Salix purpurea I VRN I
I-------------------------------I----------------------------------I---------I
I vrba šedá I Salix elaeagnos I VRE I
I-------------------------------I----------------------------------I---------I
I ostatní vrby I VRX I
I-------------------------------I----------------------------------I---------I
I jírovec maďal I Aesculus hippocastanum I KS I
I-------------------------------I----------------------------------I---------I
I pajasan žláznatý I Ailanthus altissima I PJ I
I-------------------------------I----------------------------------I---------I
I pavlovnie plstnatá I Paulownia tomentosa I PAV I
I-------------------------------I----------------------------------I---------I
I ostatní listnaté měkké I LMX I
I------------------------------------------------------------------I---------I
I souše listnaté I SOL I
I------------------------------------------------------------------I---------I
I keře I KR I
I------------------------------------------------------------------I---------I
Příloha č. 5 k vyhlášce č. 84/1996 Sb.
Dílčí těžební procento, normální paseka, těžba celková, celkový běžný
přírůst a probírkové intenzity pro odvození závazného ustanovení maximální celkové
výše těžeb
Dílčí těžební procento pro desetiletou platnost plánu pro jednotlivé
hospodářské soubory nebo sdružené hospodářské soubory se shodným obmýtím a obnovní
dobou se stanoví v jednotlivých věkových stupních na základě následující tabulky:
I--------------------------I-------------------------------------------------I I Počet desetiletí, o něž I Obnovní doba (roky) I I je věkový stupeň vzdálen I---------I---------I---------I---------I---------I I od obmýtní doby I 10 I 20 I 30 I 40 I 50 I I--------------------------I---------I---------I---------I---------I---------I I - 4 I - I - I - I - I 2 % I I--------------------------I---------I---------I---------I---------I---------I I - 3 I - I - I 4 % I 12 % I 18 % I I--------------------------I---------I---------I---------I---------I---------I I - 2 I 12% I 25 % I 30 % I 29 % I 25 % I I--------------------------I---------I---------I---------I---------I---------I I - 1 I 86 % I 67 % I 50 % I 40 % I 33 % I I--------------------------I---------I---------I---------I---------I---------I I + 1 I 100 % I 100 % I 88 % I 67 % I 50 % I I--------------------------I---------I---------I---------I---------I---------I I + 2 I 100 % I 100 % I 100 % I 100 % I 88 % I I--------------------------I---------I---------I---------I---------I---------I I + 3 I 100 % I 100 % I 100 % I 100 % I 100 % I I--------------------------I---------I---------I---------I---------I---------I
Ukazatel těžby mýtní (TM) pro hospodářský soubor (nebo sdružené HS)
dle dílčích těžebních procent se vypočte po jednotlivých věkových stupních z následujícího
vzorce:
suma Zi ti(%)
i=1k
TMHS = ---------------
100
TMHS - desetiletá těžba mýtní pro hospodářský soubor dle dílčích těžebních
procent
Zi - zásoba dřeva v m3b.k. v jednotlivých věkových stupních (označeny
dolním indexem i) příslušného hospodářského souboru zatížených
těžebním procentem
k - celkový počet věkových stupňů příslušného hospodářského souboru
zatížených těžebním procentem
ti(%) - těžební procento příslušného věkového stupně (označen dolním indexem
i) v rámci daného hospodářského souboru (nebo sdružených HS)
Normální paseka na dobu platnosti LHP se stanoví z následujícího vzorce:
P
B = --- . ZM . n
U
B - normální paseka
P - výměra porostní půdy celku
U - obmýtí celku
ZM - průměrná zásoba mýtních porostů; zásobou mýtních porostů je zásoba
věkového stupně, do kterého spadá průměrné obmýtí snížené o polovinu
průměrné obnovní doby a věkové stupně starší
n - počet let, pro které se LHP zpracovává (zpravidla 10 let)
Pro lesy obhospodařované hospodářským způsobem výběrným, vyjma lesů
ve kterých je stav lesa zjišťován na inventarizační ploše, se stanoví ukazatel celkové
výše těžeb (těžba mýtní a předmýtní se nerozlišuje) pomocí celkového běžného přírůstu
z následujícího vzorce:
Zs - Zn
TC = (CBP + --------) . t
a
TC - ukazatel těžby celkové na dobu platnosti LHP (zpravidla 10 let)
CBP - zjištěný celkový běžný přírůst roční v m3 b. k.
Zs - zjištěná porostní zásoba skutečná v m3 b. k.
Zn - vzorová (normální) porostní zásoba odvozená ze vzorové křivky
stromových četností v m3 b. k.
a - vyrovnávací doba uváděná v desítkách let
t - doba platnosti LHP (zpravidla 10 let)
Celkový běžný přírůst roční (CBP) se pak zjistí z následujícího vzorce:
Z2 + Tt - Z1
CBP = ------------
t
Z1 - inventarizovaná zásoba předchozí v m3 b. k.
Z2 - inventarizovaná zásoba současná v m3 b. k.
Tt - celková těžba za inventarizované období v m3 b. k.
t - interval mezi inventarizacemi (počet let)
V případě, že výše předmýtních těžeb není v porostech při vyhotovení
LHP navržena, odvodí se pro celý zařizovaný majetek v hospodářských souborech ze
zásob jednotlivých dřevin, probírkových intenzit (procent) a průměrného zakmenění
ve věkových stupních.
Probírkové intenzity jsou:
Výše decenálních výchovných těžeb (se zahrnutím přirozené mortality)
vyjádřená v procentech zásoby hroubí s kůrou na počátku decénia.
I------------------I-----------I-------------------------------------------------------------------------------I I DŘEVINA I ZAKMENĚNÍ I VĚK (roky) I I I I--------I--------I--------I--------I--------I--------I--------I--------I-------I I I I 20 I 30 I 40 I 50 I 60 I 70 I 80 I 90 I 100 I I------------------I-----------I--------I--------I--------I--------I--------I--------I--------I--------I-------I I Smrk (porosty I 1,0 I - I 14 % I 12 % I 11 % I 9 % I 8 % I 7 % I 6 % I 6 % I I nižších bonit) I-----------I--------I--------I--------I--------I--------I--------I--------I--------I-------I I I 0,9 I - I 7 % I 4 % I 3 % I 3 % I 3 % I 3 % I 2 % I 2 % I I I-----------I--------I--------I--------I--------I--------I--------I--------I--------I-------I I I 0,8 I - I 2 % I 3 % I 3 % I 2 % I 2 % I 2 % I 2 % I 2 % I I I-----------I--------I--------I--------I--------I--------I--------I--------I--------I-------I I I 0,7 I - I 1 % I 2 % I 2 % I 2 % I 2 % I 2 % I 2 % I 2 % I I------------------I-----------I--------I--------I--------I--------I--------I--------I--------I--------I-------I I Smrk (porosty I 1,0 I 47 % I 24 % I 17 % I 12 % I 10 % I 8 % I 7 % I 6 % I 6 % I I vyšších bonit) I-----------I--------I--------I--------I--------I--------I--------I--------I--------I-------I I I 0,9 I 38 % I 16 % I 7 % I 5 % I 4 % I 4 % I 3 % I 3 % I 3 % I I I-----------I--------I--------I--------I--------I--------I--------I--------I--------I-------I I I 0,8 I 29 % I 4 % I 4 % I 4 % I 4 % I 3 % I 3 % I 3 % I 2 % I I I-----------I--------I--------I--------I--------I--------I--------I--------I--------I-------I I I 0,7 I 10 % I 4 % I 4 % I 4 % I 3 % I 2 % I 2 % I 2 % I 2 % I I------------------I-----------I--------I--------I--------I--------I--------I--------I--------I--------I-------I I Borovice I 1,0 I 19 % I 15 % I 14 % I 12 % I 11 % I 10 % I 9 % I 8 % I 8 % I I I-----------I--------I--------I--------I--------I--------I--------I--------I--------I-------I I I 0,9 I 14 % I 7 % I 7 % I 6 % I 6 % I 5 % I 4 % I 3 % I 3 % I I I-----------I--------I--------I--------I--------I--------I--------I--------I--------I-------I I I 0,8 I 6 % I 4 % I 6 % I 6 % I 5= I 4 % I 3 % I 3 % I 3 % I I I-----------I--------I--------I--------I--------I--------I--------I--------I--------I-------I I I 0,7 I 4 % I 4 % I 5 % I 5 % I 4 % I 3 % I 3 % I 3 % I 2 % I I------------------I-----------I--------I--------I--------I--------I--------I--------I--------I--------I-------I I Buk I 1,0 I - I 21 % I 21 % I 18 % I 16 % I 13 % I 11 % I 10 % I 9 % I I I-----------I--------I--------I--------I--------I--------I--------I--------I--------I-------I I I 0,9 I - I 16 % I 13 % I 10 % I 6 % I 4 % I 2 % I 1 % I 1 % I I I-----------I--------I--------I--------I--------I--------I--------I--------I--------I-------I I I 0,8 I - I 10 % I 4 % I 2 % I 2 % I 2 % I 2 % I 1 % I 1 % I I I-----------I--------I--------I--------I--------I--------I--------I--------I--------I-------I I I 0,7 I - I 2 % I 1 % I 2 % I 2 % I 2 % I 1 % I 1 % I 1 % I I------------------I-----------I--------I--------I--------I--------I--------I--------I--------I--------I-------I I Dub letní a I 1,0 I - I 26 % I 17 % I 12 % I 10 % I 8 % I 7 % I 6 % I 6 % I I zimní I-----------I--------I--------I--------I--------I--------I--------I--------I--------I-------I I I 0,9 I - I 17 % I 9 % I 3 % I 3 % I 3 % I 2 % I 2 % I 2 % I I I-----------I--------I--------I--------I--------I--------I--------I--------I--------I-------I I I 0,8 I - I 8 % I 3 % I 4 % I 3 % I 3 % I 2 % I 2 % I 2 % I I I-----------I--------I--------I--------I--------I--------I--------I--------I--------I-------I I I 0,7 I - I 3 % I 3 % I 3 % I 3 % I 2 % I 2 % I 2 % I 2 % I I------------------I-----------I--------I--------I--------I--------I--------I--------I--------I--------I-------I Rozmezím nižších a vyšších bonit je střed bonitního rozpětí.".
31. Za přílohu č. 5 se doplňuje příloha č. 6, která zní:
"Příloha č. 6 k vyhlášce č. 84/1996 Sb.
Způsob provádění zjišťování stavu lesa na inventarizační ploše, rozsah
zjišťovaných údajů na inventarizační ploše, postup provádění statistického vyhodnocení
zjištěných údajů a stanovení ukazatele celkové výše těžeb
I.
Vymezení pojmů
Pro účely této přílohy se rozumí
1. vzorníkem prvního stupně (dále jen "vzorník 1") kmen hroubí nebo
pařez zaregistrovaný na příslušné podploše, tedy kmen nebo pařez, který polohou a
výčetní tloušťkou, nebo tloušťkou pařezu, splňuje podmínky pro registraci; kmen hroubí
nebo pařez je zaregistrován jako vzorník 1, pokud se střed inventarizační plochy
(dále též jen "plocha") nalézá v jeho zóně zahrnutí,
2. vzorníkem druhého stupě (dále jen "vzorník 2") kmen, který patří
do podmnožiny vzorníků 1; na vzorníku 2 se provádí měření výšek, případně též horních
tlouštěk,
3. zónou zahrnutí kmene hroubí (dále jen "zóna zahrnutí") část území
výběrového strata, tvořená kruhem se středem na pozici kmene hroubí nebo pařezu,
jehož poloměr odpovídá největší podploše, na které může být daný kmen nebo pařez
zaregistrován; padne-li střed plochy do části kruhu se středem na poloze kmene, která
se nachází mimo inventarizovaný celek, mimo příslušné stratum, mimo porostní půdu,
případně na nepřístupné nebo neschůdné části území, není na inventarizační ploše
prováděna registrace kmenů a daný kmen nebo pařez tak není vybrán jako vzorník 1;
pro vzorník 2 je velikost zóny zahrnutí dána maximální vzdáleností vzorníku 1 od
středu plochy stanovenou pomocí relaskopické metody a
ZPŮSOB PROVÁDĚNÍ ZJIŠŤOVÁNÍ STAVU LESA NA INVENTARIZAČNÍ PLOŠE A ROZSAH
ZJIŠŤOVANÝCH ÚDAJŮ
II.
Požadavky na počet a umístění inventarizačních lokalit a ploch
1. V rámci inventarizované části celku musí být provedeno inventarizační
šetření nejméně na padesáti lokalitách.
2. V každém stratu musí být provedeno inventarizační šetření nejméně
na pěti lokalitách.
3. Strata a jejich návrhy podle § 7b odst. 3 musí splňovat tyto
podmínky:
a) strata se nachází na území celku v rámci jeho inventarizované
části,
b) strata se polohově nepřekrývají,
c) každé stratum je v rámci celku opatřeno jednoznačným identifikátorem,
d) každé stratum je zakresleno samostatnou geometrií v digitální
mapě v souřadnicovém systému Jednotné trigonometrické sítě katastrální a
e) ke každému stratu je připojena informace o požadovaném počtu
lokalit a schéma umístění jednotlivých inventarizačních ploch vzhledem ke každé inventarizační
lokalitě.
4. V rámci strata musí být nominální počet ploch a jejich umístění
vzhledem ke každé lokalitě konstantní, přičemž maximální vzdálenost plochy od polohy
příslušné lokality nesmí překročit 250 m a nominální počet ploch na jednu lokalitu
v rámci strata musí být v rozmezí od 1 do 4 ploch.
5. Plochy jsou zakládány a šetřeny jako trvalé s požadavkem na opakovanou
identifikaci kmenů a pařezů mezi po sobě jdoucími inventarizacemi.
6. Změna strata je možná pouze jeho zrušením a definováním jednoho
nebo více nových strat. Při první inventarizaci následující po změně strata se opakuje
terénní šetření na plochách dosavadního strata šetřených v předchozí inventarizaci.
Zároveň se provede první šetření na plochách nově definovaných strat.
7. Středy ploch musí být v terénu trvale stabilizovány geodetickým
mezníkem s kovovým jádrem, nebo obdobným kovovým předmětem umožňujícím dohledání
pomocí detektoru kovů. Ve zvláštních případech (skála, lesní cesta, vodní tok či
plocha) se připouští stabilizace mimo vlastní střed plochy, avšak do maximální vzdálenosti
20 m od skutečné polohy středu plochy. Stabilizace středu plochy v náhradním umístění
nemá vliv na polohu plochy samotné. Ta se v takovém případě nijak neposouvá a její
umístění vzhledem poloze lokality v referenční inventarizační síti je zachováno.
8. Poloha stabilizace středu plochy musí být zdokumentována dvěma fotografiemi
ze dvou, na sebe kolmých směrů, na nichž je poloha středu plochy viditelně označena
geodetickou vytyčkou nebo dřevěným kolíkem s barevně zvýrazněným vrcholem.
9. Pozice stabilizace středu plochy musí být zaměřena vzhledem ke dvěma
pomocným navigačním objektům trvalého charakteru, nalézají-li se takové objekty do
vzdálenosti 25 m od stabilizace plochy. V případě, že se trvalé objekty v okolí plochy
nevyskytují, provede se zaměření stabilizace plochy vůči dvěma kmenům případně pařezům,
nacházejícím se mimo inventarizační plochu. Tyto kmeny, případně pařezy, musí být
trvale a viditelně barevně označeny.
10. Poloha na povrchu pomocného navigačního objektu (v případě kmenů
nebo pařezů musí být barevně označena), odkud byla stabilizace plochy polohově zaměřena,
musí být zdokumentována fotografií pořízenou ve směru od středu plochy. Provedení
a kvalita fotografie musí umožnit jednoznačnou identifikaci pomocného navigačního
objektu při následné inventarizaci (zpravidla po 10 letech).
III.
Požadavky pro sběr dat na inventarizačních plochách
1. Plocha musí obsahovat alespoň jednu, maximálně však tři podplochy.
Společný střed těchto podploch je totožný se středem plochy.
2. Maximální poloměr podplochy je 20 metrů, minimální 3 metry.
3. Počet kruhových podploch, jejich velikost a jim přiřazené registrační
hranice tloušťky (výčetní tloušťky a tloušťky pařezů) musí být shodné v rámci všech
ploch strata.
4. Počet a velikost podploch a s nimi související registrační hranice
tloušťky se volí tak, aby průměrný počet na jednu plochu zaregistrovaných kmenů a
pařezů (počítáno dohromady) v rámci celého strata neklesl pod 10.
5. Kmeny a pařezy jsou registrovány pouze na plochách, respektive podplochách,
jejichž střed leží na přístupné a schůdné části porostní půdy, příslušného strata.
6. Jako vzorníky 1 jsou registrovány všechny kmeny, které překračují
registrační hranici výčetní tloušťky nejmenší kruhové podplochy, do které polohově
náleží. Dále jsou jako vzorníky 1 registrovány všechny pařezy. Namísto výčetní tloušťky
je pro registraci pařezů rozhodující tloušťka v nejvyšším místě nad patou kmene,
kde lze původní tloušťku kmene spolehlivě změřit, nebo odhadnout. Při opakované inventarizaci
jsou jako vzorníky 1 automaticky zahrnuty všechny vzorníky 1 z předchozí inventarizace.
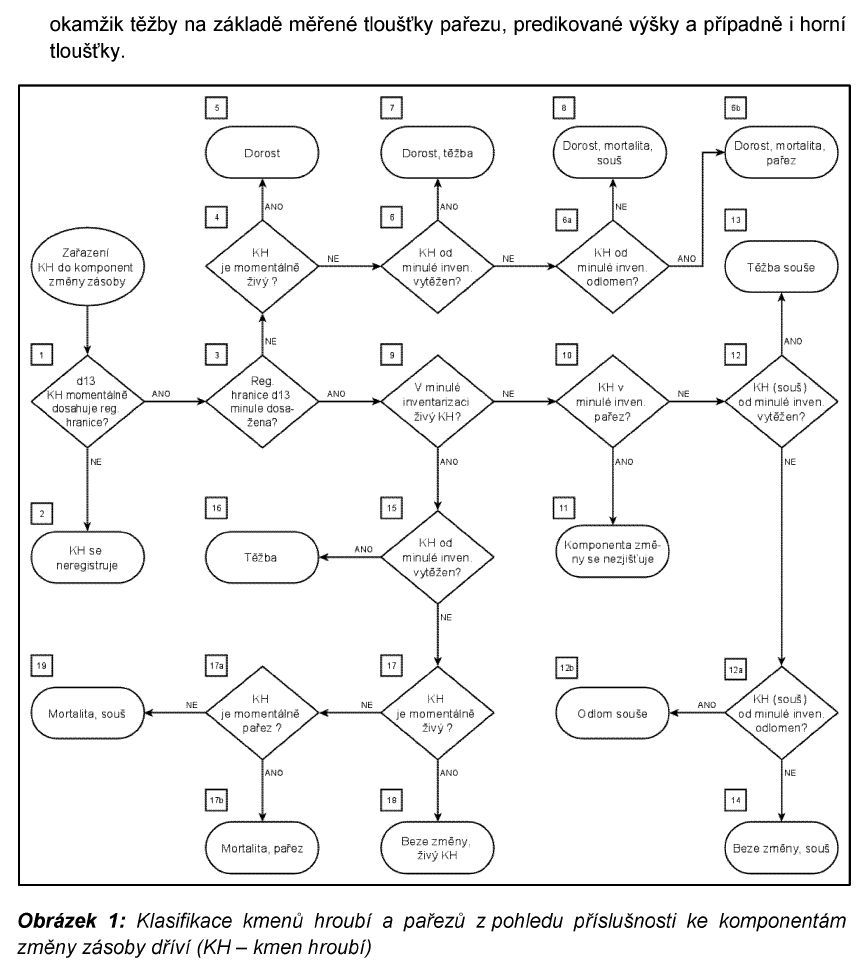
7. Pro vzorník 1 se zjišťuje základní sada vlastností, mezi které patří:
výčetní tloušťka případně tloušťka pařezu, druh dřeviny, živý či mrtvý kmen, pařez,
stojící či ležící kmen, poškození zlomem nebo vývrat. V případě opakované inventarizace
se dále zjišťují chyby předchozího postupu, a to opomenutý kmen, nebo kmen, který
neměl být dříve registrován a dále příslušnost ke komponentám změny zásoby dříví,
viz schéma na obrázku 1.
8. Měření výšky kmene (stromu) se provádí na živých vzornících 2, které
nejsou pařezem, ležícím kmenem, vývratem, zlomem, nejsou výrazně ohnuté a ani nejsou
jinak poškozeny respektive deformovány způsobem ovlivňujícím výšku kmene.
9. Výběr vzorníků 2 je prováděn relaskopickou metodou. Vzorník 1 je
vybrán za vzorník 2, pokud jeho vzdálenost od středu inventarizační plochy nepřekračuje
mezní vzdálenosti l
max
(udanou v metrech) podle vzorce:
d13
lmaxx = -----------, (2)
2odmocninaf
kde d13 je výčetní tloušťka změřená na konkrétním vzorníku 1 (udaná v
alfa
centimetrech), f = 104sin2 (----) je relaskopický faktor pro kruhovou základnu
2
uvedený v m2ha-1 a alfa je záměrný úhel relaskopické pomůcky. Relaskopický
faktor musí být zvolen jednotně pro výběrové stratum, vždy však v rozmezí od
4 do 12 m2ha-1 přičemž průměrný počet vzorníku 2 na jednu inventarizační plochu
strata nesmí klesnout pod 2.
10. Na středu plochy se při inventarizačním šetření zjišťují a evidují
následující údaje:
a) identifikátor lesního hospodářského celku,
b) identifikátor inventarizační kampaně, datum jejího zahájení
a ukončení,
c) identifikátor strata
d) identifikátor lokality,
e) identifikátor plochy,
f) příslušnost k oddělení, dílci, porostu a hospodářské skupině,
g) datum měření a datum předchozího měření (opakovaná inventarizace),
h) při měření použitá magnetická deklinace,
i) generovaná souřadnice středu inventarizační plochy,
j) souřadnice globálního družicového polohového systému stabilizovaného
středu plochy v souřadnicovém systému Jednotné trigonometrické sítě katastrální,
k) pozice náhradní stabilizace středu plochy vzhledem ke skutečnému
středu,
l) první fotografie stabilizace středu plochy,
m) druhá fotografie stabilizace středu plochy,
n) přístupnost a schůdnost středu plochy současná a předchozí (opakovaná
inventarizace),
o) stabilizace na středu plochy nebo v náhradním umístění,
p) nově založená nebo opakovaně šetřená plocha,
q) úspěšnost dohledání plochy a opakované identifikace kmenů (opakovaná
inventarizace),
r) důvod nedohledání plochy nebo neobnovení polohy kmenů (opakovaná
inventarizace),
s) kategorie a druh pozemku současná a předchozí (opakovaná inventarizace),
t) lesní typ zjištěný na středu inventarizační plochy,
u) expertně určená cílová zásoba,
v) expertně určený průměrný roční celkový běžný přírůst (CBP),
w) vyrovnávací doba,
x) jméno měřiče,
y) poznámka.
11. Pro vzorníky 1 se při inventarizačním šetření zjišťují a evidují
následující údaje:
a) identifikátor lesního hospodářského celku,
b) identifikátor inventarizační kampaně, datum jejího zahájení
a ukončení,
c) identifikátor strata,
d) identifikátor lokality,
e) identifikátor plochy,
f) identifikátor kmene/pařezu, současný i předchozí (opakovaná
inventarizace),
g) pozice kmene vzhledem ke středu plochy,
h) výčetní tloušťka respektive tloušťka pařezu, současná a předchozí
(opakovaná inventarizace),
i) modelová výška kmene (stromu), současná a předchozí (opakovaná
inventarizace),
j) tabulkový objem hroubí pro modelovou výšku (případně tarif,
s kůrou a bez kůry),
k) tabulkový objem hroubí pro modelovou výšku v předchozí inventarizaci
(případně tarif, s kůrou a bez kůry),
l) plocha zóny zahrnutí prvního stupně výběru, současná a předchozí
(opakovaná inventarizace),
m) procento normálního objemu hroubí (torza souší), současné a
předchozí (opakovaná inventarizace),
n) úspěšnost případně důvody neúspěchu opakované identifikace kmene
(opakovaná inventarizace),
o) pařez nebo normální kmen hroubí (jehličnatý nebo listnatý pařez,
starý pařez nebo čerstvý pařez po těžbě či mortalitě),
p) poloha pařezu po těžbě nebo mortalitě (uvnitř nebo vně příslušné
kruhové podplochy),
q) souš (stojící jehličnatá nebo listnatá souš, případně její torzo
r) dřevina (u pařezů z předchozí inventarizace pouze v členění
na jehličnaté a listnaté),
s) rozdvojení kmene (dvoják),
t) zlom, vývrat nebo ohnutí kmene,
u) příslušnost ke komponentě změny zásoby dříví podle schématu
na obrázku 1 (opakovaná inventarizace),
v) vyklizení kmene po těžbě respektive mortalitě (opakovaná inventarizace).
12. Pro vzorníky 2 se při inventarizačním šetření zjišťují a evidují
doplňující údaje:
a) měřená výška kmene (stromu), současná a předchozí (opakovaná
inventarizace)
b) tabulkový objem hroubí pro výčetní tloušťku a měřenou výšku
(s kůrou a bez kůry),
c) tabulkový objem hroubí pro výčetní tloušťku a měřenou výšku
v předchozí inventarizaci (s kůrou a bez kůry),
d) plocha zóny zahrnutí druhého stupně výběru, současná a předchozí
(opakovaná inventarizace).
13. Pro pomocné navigační objekty se při inventarizačním šetření
zjišťují a evidují následující údaje:
a) identifikátor lesního hospodářského celku,
b) identifikátor inventarizační kampaně, datum jejího zahájení
a ukončení,
c) identifikátor strata,
d) identifikátor lokality,
e) identifikátor plochy,
f) identifikátor pomocného navigačního objektu,
g) popis navigačního objektu,
h) fotografie navigačního objektu ve směru od stabilizace středu
plochy,
i) pozice stabilizace středu plochy vzhledem k pozici pomocného
navigačního objektu.
14. Údaje uvedené v bodech 10 až 13 se uvádějí v elektronické podobě
jako samostatná příloha hospodářské knihy, strukturovaná po jednotlivých inventarizačních
plochách.
POSTUP STATISTICKÉHO VYHODNOCENÍ ZJIŠTĚNÝCH ÚDAJŮ
IV.
Požadavky na vyhodnocení zjištěných údajů
1. Odhady středních hodnot a úhrnů pro příslušné stratum, hospodářskou
skupinu, celek či jeho inventarizovanou část a k těmto odhadům připojené směrodatné
chyby mohou být spočítány pouze postupy podle této přílohy.
2. Cílové parametry uvedené v § 7c vyhlášky mají charakter střední
hodnoty vztažené k jednotce plochy porostní půdy.
3. Cílové parametry uvedené v § 4 odst. 3 písm. e) vyhlášky mají charakter
úhrnu vztaženého k celkové ploše hospodářské skupiny, celku či jeho inventarizované
části.
V.
Odhad hektarové střední hodnoty
Symbol M značí nominální počet ploch každé lokality daného strata.
Člen s
2
označuje množinu lokalit referenční inventarizační sítě s alespoň jednou
plochou uvnitř strata. Člen IFA
(xl
) je indikátorová proměnná definující, zda se
střed plochy založené na bodě xl
nachází v přístupné a schůdné části porostní půdy
(hodnota 1), nebo nikoli (hodnota 0) podle rovnice:
Člen Y
c
(x) v rámci rovnice (3) představuje lokání hustotu, která je
definována následovně:
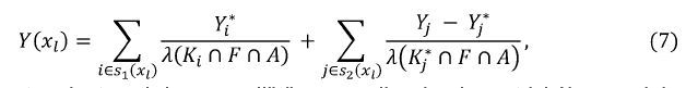
sumal=1M IFA(xl)Y(xl)
Yc(x) = --------------------. (6)
M(x)
Symbolem Y(x
l
) je označena lokální hustota na úrovni jednotlivé plochy,
která se vypočítá podle vzorce:
kde Y
i
*
značí hodnotu vlastnosti kmene zjištěnou podle dendrometrického modelu (výškové
křivky, objemového tarifu), jehož chyby predikce nejsou považovány za zanedbatelné
a je nezbytné je kompenzovat. Yj
je skutečná hodnota vlastnosti kmene zjištěná měřením
případně podle dendrometrického modelu, jehož chyby považujeme za zanedbatelné. Symboly
s1
(xl
) a s2
(xl
) označují množiny vzorníků 1 a vzorníků 2 zaregistrovaných na ploše
se středem na bodě xl
. Hodnoty Yi
*
jsou získány na všech vzornících 1, zatímco hodnoty
Yj
pouze na vzornících 2.Člen delta(K
i
průnik F průnik A) je plocha části zóny zahrnutí Ki
vzorníků 1 označeného indexem i, která leží uvnitř přístupné a schůdné části porostní
půdy daného strata. Tato plocha se získá prostorovým oříznutím nominální zóny zahrnutí
Ki
digitální mapou přístupné a schůdné porostní půdy daného strata. Analogicky, delta(Kj
*
průnik F průnik A) odpovídá ploše zóny zahrnutí konkrétního vzorníků 2 (označen indexem
j) vybíraného relaskopickou metodou. Nominální zóna zahrnutí Kj
*
konkrétního vzorníků
2 je zkonstruována se středem na poloze příslušného kmene (označeného indexem j)
a s poloměrem rj
odpovídajícím minimu z dvojice čísel: a) Maximální vzdálenost pro zahrnutí daného kmene do výběru pomocí
relaskopické metody s faktorem f, viz první výraz v hranaté závorce rovnice (8).
b) Poloměr r
ks
největší z podploch, na které může být kmen s danou
výčetní tloušťkou (d13
) zaregistrován jako vzorník 1, viz druhý výraz v hranaté závorce
rovnice (8).
d13
rj = min[-----------;rks], (8)
2odmocninaf
Velikost zóny zahrnutí delta(K
j
*
průnik F průnik A) je stanovena po
redukci Kj
*
pouze na části uvnitř přístupné a schůdné porostní půdy provedenou analýzou
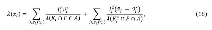
s využitím geografického informačního systému a příslušné mapy.VII.
Odhady pro podoblasti
1. Odhad střední hektarové hodnoty pro libovolně definovanou podoblast
D přístupné a schůdné části porostní půdy v rámci daného strata (např. pro hospodářskou
skupinu, není-li tato shodná se stratem) se vypočítá postupem podle části V., avšak
s nahrazením indikátorové proměnné I
FA
(xl
) podle rovnice (5) indikátorovou proměnnou
ID
(xl
) kódující příslušnost středu plochy do podoblasti D podle rovnice:
1 pro xl je prvek množiny D,
ID(xl) = { (13)
0 pro xl nie je prvek množiny D,
2. Odpovídající odhad úhrnu se vypočítá postupem podle části VI., s
dosazením střední hodnoty podle předchozího bodu a nahrazením plochy delta(F průnik
A) plochou delta(D) ve vzorcích (11) a (12).
VIII.
Stratifikované odhady
IX.
Odhad zásoby dříví
1. Zásoba dříví zahrnuje objem hroubí všech stojících a ležících kmenů
hroubí nacházejících se na přístupné a schůdné části porostní půdy v okamžiku, pro
který je zásoba dříví odhadována.
2. Odhady zásoby dříví jsou počítány příslušnými postupy podle částí
V., VI, případně VII. a VIII.
5. Odhad zásoby v předchozí inventarizaci je prováděn pro území přístupné
a schůdné části porostní půdy v období předchozí inventarizace.
X.
Odhad těžby dříví v období od předchozí inventarizace
1. Od druhého provedení inventarizace jsou odhady těžby dříví počítány
příslušnými postupy podle částí V., VI., VII. a případně VIII.
2. Odhad těžby na hektar porostní půdy využívá postupu pro podoblasti
(viz část VII.), s tím, že do podoblasti řadíme pouze inventarizační plochy, které
vyhovují všem dále uvedeným podmínkám:
a) v předchozí inventarizaci plocha náležela k přístupné a schůdné
části porostní půdy,
b) při současné inventarizaci bylo na ploše možné posoudit příslušnost
kmenů ke komponentám změny zásoby, viz schéma na obrázku 1.
3. Při odhadu úhrnu těžby je ve vzorcích (11) a (12) za plochu podoblasti
použita plocha přístupné a schůdné porostní půdy zjištěná při předchozí inventarizaci
pro dané stratum.
STANOVENÍ UKAZATELE CELKOVÉ VÝŠE TĚŽEB
XI.
Odhad průměrného ročního celkového běžného přírůstu v období od předchozí
inventarizace
1. Odhady průměrného ročního celkového běžného přírůstu (dále jen "CBP")
se počítají příslušnými postupy podle částí V., VI., VII. a případně VIII.
2. Při odhadu úhrnu přírůstu je ve vzorcích (11) a (12) použita plocha
přístupné a schůdné porostní půdy zjištěná při současné inventarizaci pro dané stratum.
3. Lokální hustota pro odhad CBP je na úrovni jednotlivé plochy počítána
následovně:
Tabulka 1: Maximální CBP [m3/ha/rok], hroubí bez kůry I----------------I--------------------------------------------------------------------------------------I I Nadmořská I Příslušnost středu inventarizační plochy k ekologické řadě typologického systému I I výška středu I----------I--------I-------I-----------I-----------I----------I-----------I-----------I I inventarizační I extrémní I kyselá I živná I obohacená I obohacená I oglejená I podmáčená I rašelinná I I plochy I I I I humusem I vodou I I I I I [m n. m.] I I I I I I I I I I----------------I----------I--------I-------I-----------I-----------I----------I-----------I-----------I I pod 400 I I 5,8 I 6,8 I 5,8 I I I----------------I I----------------I-----------I-----------I----------I I I I 400 až 700 I 3,5 I 7,8 I I I I 3,7 I I----------------I I--------I I 6,8 I 7,8 I 5,8 I I I 700 a výš I I 6,8 I I I I I I I----------------I----------I--------I-------I-----------I----------------------I-----------I-----------I
XII.
Odhad celkové výše těžby na období platnosti lesního hospodářského
plánu
1. Odhady celkové výše těžby (dále jen "CVT") se počítají příslušnými
postupy podle částí V., VI., VII. a případně VIII.
2. Při odhadu úhrnu CVT je ve vzorcích (11) a (12) použita plocha přístupné
a schůdné porostní půdy daného strata zjištěná při současné inventarizaci.
4. Cílová zásoba Z
c
(xl
) se pro jednotlivé inventarizační plochy stanoví
podle rovnice:Zc(xl) = max[Ze(xl); Zmin(xl)], (22)
kde Z
e
(xl
) je cílová zásoba stanovená expertním odhadem s přihlédnutím k informacím
o zásobách modelových porostů a hospodářskému záměru vlastníka, Zmin
(xl
) je odečtená
z tabulky 2 na základě nadmořské výšky a ekologické řady typologického systému na
středu příslušné inventarizační plochy. Do vzorce (22) je tak dosazena vyšší z hodnot
Ze
(xl
) a Zmin
(xl
).Tabulka 2: Minimální cílové zásoby Zmin(xl) [m3/ha], hroubí bez kůry I----------------I--------------------------------------------------------------------------------------I I Nadmořská I Příslušnost středu inventarizační plochy k ekologické řadě typologického systému I I výška středu I----------I--------I-------I-----------I-----------I----------I-----------I-----------I I inventarizační I extrémní I kyselá I živná I obohacená I obohacená I oglejená I podmáčená I rašelinná I I plochy I I I I humusem I vodou I I I I I [m n. m.] I I I I I I I I I I----------------I----------I--------I-------I-----------I-----------I----------I-----------I-----------I I pod 400 I I 188 I 217 I 159 I I I----------------I I----------------------------I-----------I----------I I I I 400 až 700 I 158 I 242 I I I 99 I I----------------I I--------I-------------------------------I 217 I 159 I I I 700 a výš I I 217 I 274 I I I I I----------------I----------I--------I-------------------------------I----------I-----------I-----------I

























